MEDIUM- AND LARGE-SIZED MAMMALS IN A PROTECTED AREA OF ATLANTIC FOREST IN THE NORTHEAST OF BRAZIL

Authors

  • Catalina Sánchez-Lalinde 1 Universidade Estadual de Santa Cruz, Departamento de Ciências Biológicas, Programa de Pós-Graduação em Zoologia, Campus Soane Nazaré de Andrade, Rod. Jorge Amado, Km 16, Salobrinho, CEP 45662-900, Ilhéus, BA, Brazil. http://orcid.org/0000-0002-1817-1508
  • Paulo Ribeiro 1 Universidade Estadual de Santa Cruz, Departamento de Ciências Biológicas, Programa de Pós-Graduação em Zoologia, Campus Soane Nazaré de Andrade, Rod. Jorge Amado, Km 16, Salobrinho, CEP 45662-900, Ilhéus, BA, Brazil.
  • Felipe Vélez-García 1 Universidade Estadual de Santa Cruz, Departamento de Ciências Biológicas, Programa de Pós-Graduação em Zoologia, Campus Soane Nazaré de Andrade, Rod. Jorge Amado, Km 16, Salobrinho, CEP 45662-900, Ilhéus, BA, Brazil. 2 Universidade Estadual de Santa Cruz, Departamento de Ciências Biológicas, Programa de Pós-Graduação em Ecologia e Conservação da Biodiversidade, Campus Soane Nazaré de Andrade, Rod. Jorge Amado, Km 16, Salobrinho, CEP 45662-900, Ilhéus, BA, Brazil.
  • Martín Roberto Alvarez 1 Universidade Estadual de Santa Cruz, Departamento de Ciências Biológicas, Programa de Pós-Graduação em Zoologia, Campus Soane Nazaré de Andrade, Rod. Jorge Amado, Km 16, Salobrinho, CEP 45662-900, Ilhéus, BA, Brazil.

DOI:

https://doi.org/10.4257/oeco.2019.2302.04

Keywords:

Atlantic Forest, camera trap, high diversity, inventory, mammal community, protected areas

Abstract

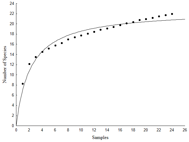
This is the first survey of medium- and large-sized mammals for the Private Reserve of Natural Heritage Complex (RPPN) Serra Bonita, in southern Bahia, Brazil. RPPN Serra Bonita is one of the largest private reserves in the Central Corridor of the Atlantic Forest. This study aims to fill a knowledge gap in this area by describing the medium- and large-sized mammals species richness observed in the RPPN Serra Bonita. We installed 19 camera traps for two consecutive years, from November 2010 to November 2012 (sample effort 13.870 camera-days). In addition, some species were recorded using tracks and/or direct observations in the field. We recorded 22 species, including endemic and threatened species, distributed in seven orders: Cetartiodactyla, Carnivora, Cingulata, Lagomorpha, Pilosa, Primates and Rodentia. The crab-eating fox, Cerdocyon thous, was the most recorded species. We also recorded some threatened species, like Leopardus guttulus (VU) and Sapajus xanthosternos (CR). Species richness at RPPN Serra Bonita was higher than that found in other studies conducted in the Atlantic Forest of southern Bahia. The Clench model had a good fit with 96% of the expected mammals recorded in the reserve. This suggests that RPPN Serra Bonita protects a high species richness of medium- and large-sized mammals. Therefore, this small area should be considered a hotpoint within the Atlantic Forest hotspot.

Downloads

Download data is not yet available.

References

Aguiar, A. P., Chiarello, A. G., Mendes, S. L., & Matos, E. D. 2003. The central and Serra do Mar corridors in the brazilian Atlantic Forest. The Atlantic Forest of South America: biodiversity status, threats and outlook center for applied biodiversity science at conservation international. In: C. Galindo-Leal & I. G. Camara (Eds.), The Atlantic Forest of South America: Status, Threats and Outlokk Center for Applied Biodiversity Science at Conservation International. pp. 118–132. Washington: Island Press.

Amorim, A. M., & Leme, E. 2009. Two new species of Quesnelia (Bromeliaceae: Bromelioideae) from the Atlantic Rainforest of Bahia, Brazil. Brittonia, 61(1), 14–21.

Amorim, A. M., Jardim, J. G., Lopes, M. M. M., Fiaschi, P., Borges, R. A. X., Perdiz, R. D. O., & Thomas, W. W. 2009. Angiospermas em remanescentes de floresta montana no sul da Bahia, Brasil. Biota Neotropica, 9(3), 313–348.

Bogoni, J. A., Cherem, J. J., Hettwer Giehl, E. L., Oliveira-Santos, L. G., Castilho, P. V., Picinatto Filho, V., Fantacini, F. M., Tortato, M. A., Luiz, M. R., Rizzaro, R., & Graipel, M. E. 2016. Landscape features lead to shifts in communities of medium- to large-bodied mammals in subtropical Atlantic Forest. Journal of Mammalogy, 97(3), 713–725. DOI: 10.1093/jmammal/gyv215

Borges, P. A. L., & Tomás, W. M. 2008. Guia de rastros e outros vestígios de mamíferos do Pantanal. Corumbá: Embrapa Pantanal: p. 139.

Caro, T., Engilis, A., Fitzherbert, E., & Gardner, T. 2004. Preliminary assessment of the flagship species concept at a small scale. Animal Conservation, 7(1), 63–70. DOI: 10.1017/S136794300300115X

Cassano, C. R., Barlow, J., & Pardini, R. 2012. Large mammals in an agroforestry mosaic in the brazilian Atlantic Forest. Biotropica, 44(6), 818–825. DOI: 10.1111/j.1744-7429.2012.00870.x

Cassano, C. R., Barlow, J., & Pardini, R. 2014. Forest loss or management intensification? Identifying causes of mammal decline in cacao agroforests. Biological Conservation, 169, 14–22. DOI: 10.1016/j.biocon.2013.10.006

Cassano, C. R., Almeida-Rocha, J. M. D., Alvarez, M. R., Bernardo, C. B. S., Bianconi, G. V., Campiolo, S., Campos, C. B., Danilewicz, D., Falcão, F. C., Garcia, F. V., Giné, G. A. F., Guidorizzi, C. E., Jeruzalinsky, L., Pendu, Y. L., Marcondes, M. C. C., Melo, V. L., Mendes, F. R., Miretzki, M., Neves, L. G., Oliveira, L. C., Pereira, A.R., Silva, K. F. M., Reis, M. S., Vleeschouwer, K. M., Vieira, E. M., & Ximenes, G. E. I. 2017. Primeira avaliação do status de conservação dos mamíferos do estado da Bahia, Brasil. Oecologia Australis, 21(2), 156–170.

Clucas, B., McHugh, K., & Caro, T. 2008. Flagship species on covers of US conservation and nature magazines. Biodiversity and Conservation, 17(6), 1517–1528. DOI: 10.1007/s10531-008-9361-0

Cruz, D., Marciano-Jr, E., & Napoli, M. F. 2014. Advertisement and courtship calls of Phyllodytes wuchereri (Peters, 1873) (Anura: Hylidae). Zootaxa, 3774(1), 97–100.

Damasceno, S. S. 2011. Distribuição , biologia e estimativa populacional do entufado-baiano (Merulaxis stresemanni) (Passeriformes, Rhinocryptidae), uma espécie criticamente em perigo de extinção da Mata Atlântica. Master Thesis. Departamento de Ciências Biológicas da Universidade Federal de Ouro Preto. p. 53.

Develey, P. F., & Goerck, J. M. 2009. Brazil. In: C. Devenish, D. F. Díaz-Fernández, R. P. Clay, I. Davidson & I. Yépez-Zabala (Eds.), Important bird areas Americas - Priority sites for biodiversity conservation. pp. 99–112. Quito: Bird Life International.

Dias, I. R., Medeiros, T. T., Nova, M. F. V., & Solé, M. 2014. Amphibians of Serra Bonita, southern Bahia: A new hotpoint within Brazil’s Atlantic Forest hotspot. ZooKeys, 130(449), 105–130. DOI: 10.3897/zookeys.449.7494

Dias, I. R., Medeiros, T. T., Solé, M., & Pimenta, B. V. S. 2011. Amphibia, Anura, Hylidae, Bokermannohyla lucianae (Napoli and Pimenta , 2003): Distribution extension and geographic distribution map. Check List: the Journal of biodiversity data, 7(2), 108–109. DOI: 10.15560/7.2.108

Díaz-Francés, E., & Soberón, J. 2005.Statistical estimation and model selection of species-accumulation functions. Conservation Biology, 19(2), 569–573. DOI: 10.1111/j.1523-1739.2005.00453.x

Dotta, G., & Verdade, L. M. 2011. Medium to large-sized mammals in agricultural landscapes of south-eastern Brazil. Mammalia, 75(4), 345–352. DOI: 10.1515/MAMM.2011.049

Emmons, L., & Feer, F. 1997. Neotropical rainforest mammals: a field guide. 2nd ed. Chicago: University of Chicago Press: p. 396.

Falcão, F. C., Guanaes, D. H. A., & Paglia, A. 2012. Medium and large-sized mammals of RPPN Estação Veracel, southernmost Bahia , Brazil. Check List: the Journal of biodiversity data, 8(5), 929–934.

Galetti, M., Giacomini, H. C., Bueno, R. S., Bernardo, C. S. S., Marques, R. M., Bovendorp, R. S., Steffler, C. E., Rubim, P., Gobbo, S. K., Donatti, C. I., Begotti, R. A., Meirelles, F., Nobre, R. A., Chiarello, A. G., & Peres, C. A. 2009. Priority areas for the conservation of Atlantic forest large mammals. Biological Conservation, 142(6), 1229–1241. DOI: 10.1016/j.biocon.2009.01.023

González-Oreja, J. A., de la Fuente-Díaz-Ordaz, A. A., Hernández-Santín, L., Buzo-Franco, D., & Bonache-Regidor, C. 2010. Evaluación de estimadores no paramétricos de la riqueza de especies. Un ejemplo con aves en áreas verdes de la ciudad de Puebla, México. Animal Biodiversity and Conservation, 33(1), 31–45.

Goulart, F. V. B., Cáceres, N. C., Graipel, M. E., Tortato, M. A., Ghizoni-Jr, I. R., & Oliveira-Santos, L. G. 2009. Habitat selection by large mammals in a southern Brazilian Atlantic Forest. Mammalian Biology, 74(3), 182–190. DOI: 10.1016/j.mambio.2009.02.006

Graipel, M. E., Cherem, J. J., Monteiro-Filho, E. L., & Carmignotto, A. P. 2017. Mamíferos da Mata Atlântica. In: E. L. A. Monteiro-Filho & C. E. Conte (Eds.), Revisões em Zoologia: Mata Atlântica. p. 391–482.Curitiba: Editora UFPR.

ICMBio. 2018. Livro vermelho da fauna brasileira ameaçada de extinção: Volume II-Mamíferos. Brasilia: Instituto Chico Mendes de Conservação da Biodiversidade: p. 622.

IUCN 2019. The IUCN Red List of Threatened Species. Version 2019-1. https://www.iucnredlist.org

Jiménez-Valverde, A., & Hortal, J. 2003. Las curvas de acumulación de especies y la necesidad de evaluar la calidad de los inventarios biológicos. Revista Ibérica de Aracnología, 8, 151–161.

Kierulff, M. C. M., Mendes, S. L. & Rylands, A. B. 2015. Sapajus xanthosternos. The IUCN Red List of Threatened Species, eT4074A70615251. DOI: 10.2305/IUCN.UK.2015-1.RLTS.T4074A70615251.en

Liuth, H. S., Talora, D. C., & Amorim, A. M. 2013. Phenological synchrony and seasonality of understory Rubiaceae in the Atlantic Forest, Bahia , Brazil. Acta Botanica Brasilica, 27(1), 195–204. DOI: 10.1590/S0102-33062013000100019

Martinelli, G. 2007. Mountain biodiversity in Brazil. Revista Brasileira de Botânica, 30(4), 587–597. DOI: 10.1590/S0100-84042007000400005

Martins, U. R., & Galileo, M. H. M. 2010. Cerambycidae (Coleoptera) da Serra Bonita, Camacan, Bahia, Brasil. Papéis Avulsos de Zoologia, 50(28), 435–443.

Mesquita, C. A. B. 2004. RPPN da Mata Atlântica: um olhar sobre as reservas particulares dos corredores de biodiversidade Central e da Serra do Mar. Belo Horizonte: Aliança para a Conservação da Mata Atlântica & Conservação Internacional: p. 48.

Ministério do Meio Ambiente. 2014. Lista Nacional Oficial de Espécies da Fauna Ameaçada de Extinção. Portaria no 444, de 17 de dezembro de 2014. Diário Oficial Da União, 245(1), 121–126.

Ministerio do Meio Ambiente, Conservação Internacional, & Fundação SOS Mata Atlântica. 2006. O corredor central da Mata Atlântica. Uma nova escala de conservação da biodiversidade. Brasilia: Ministerio do Meio Ambiente: p. 46.

Moreno, C. E. 2001. Métodos para medir la biodiversidad. M&T - Manuales y Tesis SEA, 1, 84. DOI: 10.1371/journal.pone.0103709

Moura, R. T. 2003. Distribuição e ocorrência de mamíferos na Mata Atlântica do sul da Bahia. In: P. I. Prado, E. C. Landau, R. T. Moura, L. P. S. Pinto, G. A. B. Fonseca & K. N. Alger (Eds.), Corredor da biodiversidade da Mata Atlântica do sul da Bahia. pp.1–22. Ilhéus: IESB/CI/CABS/UFMG/UNICAMP.

Napoli, M. F., Caramaschi, U., Cruz, C. A. G., & Dias, I. R. 2011. A new species of flea-toad, genus Brachycephalus Fitzinger (Amphibia: Anura: Brachycephalidae), from the Atlantic rainforest of southern Bahia, Brazil. Zootaxa, 2739, 33–40.

Nascimento, F. O., & Feijó, A. 2017. Taxonomic revision of the tigrina Leopardus tigrinus (Schreber, 1775) species group (Carnivora, Felidae). Papéis Avulsos de Zoologia, 57(19), 231–264. DOI: 10.1590/S0031-10492003000600001

Nemesio, A. 2014. The orchid-bee faunas (Hymenoptera: Apidae ) of ‘Reserva Ecológica Michelin’, ‘RPPN Serra Bonita’ and one Atlantic Forest remnant in the state of Bahia , Brazil, with new geographic records. Brazilian Journal of Biology, 74(1), 16–22.

Oliveira, T. G. D., & Cassaro, K. 2005. Guia de campo dos felinos do Brasil. São Paulo: Instituto Pró-Carnívoros: p. 80.

Oliveira-Filho, A. T., & Fontes, M. A. L. 2000. Patterns of floristic differentiation among Atlantic Forests in southeastern Brazil and the influence of climate. Biotropica, 32(4), 793–810. DOI: 10.1111/j.1744-7429.2000.tb00619.x

Pacheco, F. A., Whitney, B., & Gonzaga, L. P. 1996. A new genus and species of furnariis (Aves: Furnariidae) from the cocoa-growing region of southeastern Bahia, Brazil. Wilson Bulletin, 108(3), 397–433.

Paglia, A. P., Fonseca, G. A. B., Rylands, A. B., Herrmann, G., Aguiar, L. M. S., Chiarello, A. G., Leite, Y. L. R., Costa, L. P., Siciliano, S., Kierulff, M. C. M., Mendes, S. L., Tavares, V. C., Mittermeier, R. A., & Patton, J. L. 2012. Lista anotada dos mamíferos do Brasil. 2nd edition. Arlington: Occasional Papers in Conservation Biology, 6, 1–76.

Peel, M. C., Finlayson, B. L., & McMahon, T. A. 2007. World map of the Köppen-Geiger climate classification updated. Hydrology and Earth System Sciences, 11, 1633–1644. DOI: 10.1127/0941-2948/2006/0130

Prado, M. R., Rocha, E. C., & Giudice, G. M. L. 2008. Mamíferos de médio e grande porte em um fragmento de Mata Atlântica, Minas Gerais, Brasil. Revista Árvore, 32(4), 741–749. DOI: 10.1590/S0100-67622008000400016

Reis, R. N., Peracchi, A. L., Pedro, W. A., & Lima, I. P. 2011. Mamíferos do Brasil. 2nd ed. Londrina: Universidade Estadual de Londrina: p. 436.

Ribeiro, M. C., Metzger, J. P., Martensen, A. C., Ponzoni, F. J., & Hirota, M. M. 2009. The brazilian Atlantic Forest: How much is left, and how is the remaining forest distributed? Implications for conservation. Biological Conservation, 142(6), 1141–1153. DOI: 10.1016/j.biocon.2009.02.021

Rocha, D. S. B., & Amorim, A. M. A. 2012. Heterogeneidade altitudinal na Floresta Atlântica setentrional : um estudo de caso no sul da Bahia , Brasil. Acta Botanica Brasilica, 26(2), 309–327.

Sánchez-Lalinde, C., Silveira, L. F., Vélez-García, F., Cornélio, A. C., Alvarez, M. R. 2011. Records of the harpy eagle (Harpia harpyja) in the Serra Bonita reserves complex, Camacan, Bahia, with evidence of breeding. Revista Brasileira de Ornitologia, 19(3), 436–438.

Soares, C., Faneca, L., Fonseca, R., & Alvarez, M. R. 2013. Levantamento de mamíferos de maior porte em seringais e florestas do sul da Bahia (Brasil) utilizando armadilhas fotográficas. Revista de Biologia Neotropical, 10(1), 36–45. DOI: 10.5216/rbn.v10i1.12392

Soberón, J. M., & Llorente, B. J. 1993. The use of species accumulation functions for the prediction of species richness. Conservation Biology, 7(3), 480-488. DOI: 10.1046/j.1523-1739.1993.07030480.x

Trigo, T. C., Schneider, A., Oliveira, T. G., Lehugeur, L. M., Silveira, L., Freitas, T. R. O., & Eizirik, E. 2013. Molecular data reveal complex hybridization and a cryptic species of neotropical wild cat. Current Biology, 23(24), 2528–2533. DOI: 10.1016/j.cub.2013.10.046

Downloads

Published

2019-06-15