FENOLOGIA REPRODUTIVA E VEGETATIVA DE Qualea multiflora MART. EM CERRADÃO

Authors

  • Patrícia Oliveira da Silva Instituto Federal Goiano-campus Rio Verde
  • Sabrina Emanuella Silva Almeida Instituto Federal Goiano-Campus Rio Verde
  • Thais Cristina de Sousa Oliveira Instituto Federal Goiano-Campus Rio Verde
  • Gisele Cristina de Oliveira Menino Instituto Federal Goiano-Campus Rio Verde
  • Rauander Douglas Ferreira Barros Alves Universidade Federal de Goiás

DOI:

https://doi.org/10.4257/oeco.2020.2401.10

Keywords:

flowering, fruiting, pau-terra-liso, seasonality, synchronization.

Abstract

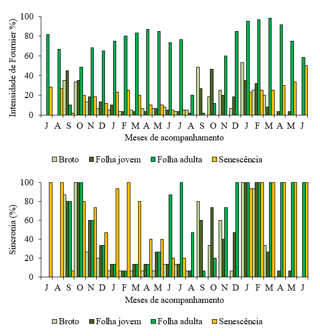
O conhecimento advindo da fenologia vegetal em ecossistemas naturais promove o entendimento da biodiversidade, produtividade, organização das comunidades vegetais e sobre as interações das plantas com a fauna, sendo de grande importância em programas de conservação. Entretanto, informações fenológicas de algumas espécies são insuficientes, este é o caso de Qualea multiflora Mart. Diante do exposto, este estudo teve o objetivo de descrever a sua fenologia reprodutiva e vegetativa em fitofisionomia de Cerradão, Estado de Goiás, Brasil. Para tal, foram marcados 15 indivíduos que foram visitados mensalmente entre julho de 2016 e junho de 2018 e os eventos reprodutivos (botão floral, antese, fruto imaturo e fruto maduro) e vegetativos (broto foliar, folha jovem, folha adulta e senescência) foram registrados. A intensidade e sincronia foram avaliadas e testada a sazonalidade e correlação de Spearman da fenologia com variáveis climáticas locais. A floração ocorreu na transição do período seco para o chuvoso e durante as chuvas. A frutificação foi registrada durante todos os meses de estudo e a maturação dos frutos na época mais seca. A brotação foliar, produção de folhas e senescência ocorreram na maioria dos meses de observação, com maior intensidade em meses secos e quentes. A folhagem adulta esteve presente durante todo o estudo. Este estudo evidencia que mesmo que Q. multiflora apresente comportamento fenológico semelhante ao já encontrado na literatura para espécies arbóreas do cerradão, há algumas particularidades, principalmente no corpo vegetativo.

 

REPRODUCTIVE AND VEGETATIVE PHENOLOGY OF Qualea multiflora MART. IN CERRADÃO. Knowledge of plant phenology in natural ecosystems promotes the understanding of biodiversity, productivity, organization of plant communities, and interactions between plants and fauna, being of great importance in conservation programs. However, phenological information of some species is insufficient, which is the case of Qualea multiflora Mart. In this context, this study describes reproductive and vegetative phenology of Qualea multiflora Mart.  in a phytophysiognomy of Cerrado biome (Cerradão), Goiás State, Brazil. For that, 15 individuals were accompanied monthly between July 2016 and June 2018 and reproductive events (flower budding, anthesis, unripe fruit and ripe fruit) and vegetative events (leaf budding, young leaf, adult leaf and senescent leaf) were registered. The intensity and synchrony were evaluated and we also tested the seasonality and Spearman correlation of phenology and local climatic variables. Flowering occurred in the transition from the dry period to the rainy season and during the rainy season. Fruiting was recorded during all studied months and fruit ripening occurred in the dry season. Leaf budding, leaf production and senescence occurred during most of observation period, with higher intensity in dry and hot months. Adult leaves were present throughout the study. This study shows that even though Q. multiflora presents phenological behavior similar to that already found in the literature for Cerradão tree species, there are some particularities, especially in the vegetative body.


Downloads

Download data is not yet available.

References

Ayres, M., Ayres Júnior, M., Ayres, D.L. e Santos, A.A. 2007. Aplicações estatísticas nas áreas das ciências biomédicas. Ong Mamiraua. Belém, PA. Bioestat 5.0: p. 364.

Barônio, G.J. 2012. Pilosidade foliar reduz herbivoria em folhas jovens e maduras de Qualea multiflora Mart. em cerrado stricto sensu. Neotropical Biology and Conservation. 7(2):122¬¬¬–128. DOI: 10.4013/nbc.2012.72.06

Batalha, M. A., Aragaki, S., & Mantovani, W. 1997. Variações fenológicas das espécies do cerrado em Emas (Pirassununga, SP). Acta Botânica Brasílica, 11(1), 61–78. DOI:10.1590/S0102-33061997000100007.

Bencke, C. S.C., & Morellato, L.P. C. 2002. Comparação de dois métodos de avaliação da fenologia de plantas, sua interpretação e representação. Revista Brasileira de Botânica, 25(3), 269–275. DOI: 10.1590/S0100-84042002000300003.

Borchert, R. S., Meyer, S. A., Felger, R. S., & Porter-Bolland, L. 2004. Environmental control of flowering periodicity in Costa Rican and Mexican tropical dry forests. Global Ecology and Biogeography, 13(5), 409–425. DOI: 10.1111/j.1466-822X.2004.00111.x

Burrows, M. T., Schoeman, D. S., Buckley, L. B., Moore, P., Poloczanska, E. S., Brander, K. M., & Brown, C. 2011. The pace of shifting climate in marine and terrestrial ecosystems. Science, 334(6056), 652–655. DOI: 10.1126 / science.1210288.

Camacho, M., & Orozco, L. 1998. Patrones fenológicos de doce especies arbóreas del bosque montano de la Cordillera de Talamanca, Costa Rica. Revista de Biologia Tropicale, 46(3), 533–542.

Camargo, M.G.G., Carvalho, G.H., Alberto, B.B., Reys, P., &Morellato, L.P.C. 2018. Leafing patterns and leaf exchange strategies of a cerrado woody Community. Biotropica, 50(3), 442–454. DOI:10.1111/btp.12552.

Carvalho, M.A.F.; Bittar, P.A.; Souza, P.B., & Ferreira, R.Q.S. 2016. Florística, fitossociologia e estrutura diamétrica de um remanescente florestal no município de Gurupi, Tocantins. Revista Verde de Agroecologia e Desenvolvimento Sustentável, 11(4), 59–66.

Cleland, E. E., Chuine, I., Menzel, A., Mooney, H. A., & Schwartz, M. D. 2007. Shifting plant phenology in response to global change. Trends in Ecology and Evolution, 22 (7), 357–365. DOI: 10.1016/j.tree.2007.04.003

Climatempo. 2018. Disponível em: http://www.climatempo.com.br/climatologia/4861/rioverde. Acesso em: Março de 2018

Conceição, A.A., Funch, L.S., & Pirani, J.R. 2007. Reproductive phenology, pollination and seed dispersal syndromes on sandstone outcrop vegetation in the "Chapada Diamantina", northeastern Brazil: population and community analyses. Revista Brasileira de Botânica, 30 (3), 475–485. DOI:10.1590/S010084042007000300012

Coutinho, L.M. 2006. O conceito de bioma. Acta Botânica Brasílica, 20(1), 13–23. DOI: 10.1590/S0102-33062006000100002

Dalmolin, A.C., Lobo, F.A., Vourlitis, G., Silva, P.R., Dalmagro, H.J., Antunes, J.R., & Ortiz, C.E.R. 2015. Is the dry season an important driver of phenology and growth for two Brazilian savanna tree species with contrasting leaf habits? Plant Ecology, 216(3), 407–417. DOI: 10.1007/s11258-014-0445-5

Ellwood, E.R.; Pearson, K.D., & Nelson, G. 2019. Emerging frontiers in phenological research. Applications in Plant Sciences, 7(3), 1–2. DOI: 10.1002/aps3.1234

Fagundes, M., Xavier, R.C., Ramos, L.F.L., Siqueira, W.K., Reis-Junior, R., & Souza, M.L. 2016. Does inter-plant variation in sprouting time affect the growth/reproduction trade-off and herbivory in a tropical tree species? Acta Botânica Brasílica, 30(4), 602–608. DOI: 10.1590./0102-33062016abb0236

Felsemburgh, C.A., Peleja, V.L., & Carmo, J.B. 2016. Fenologia de Aniba parviflora (Meins.) Mez. em uma região do estado do Pará, Brasil. Biota Amazônia, 6(3), 31–39. DOI: 10.18561/21795746/biotaamazonia.v6n3p31-39

Ferreira, D.F. 2011. Sisvar: a computer statistical analysis system. Ciência e Agrotecnologia, 35(6): 1039–1042. http://dx.doi.org/10.1590/S1413-70542011000600001.

Ferreira, K.R., Fina, B.G., Rêgo, N. H., Rui, R.F., & Kusano, D.M. 2017. Fenologia de Qualea parviflora Mart. (Vochysiaceae) em um remanescente de cerrado sensu stricto. Revista de Agricultura Neotropical, 4(3), 15–22.

Ferrera, T. S., Pelissaro, T.M., Eisinger, S. M., Righi, E.Z., & Buriol, G. A. 2017. Fenologia de espécies nativas arbóreas na região central do Estado do Rio Grande do Sul. Ciência Florestal, 27(3), 753–766.

Fonseca, D.C., Oliveira, M.L.R., Pereira, I. M., Cabral, C.M., Moura, C.C., & Machado, E.L.M. 2017. Phenological strategies of dioecious species in response to the environmental variations of rupestrian grasslands. Cerne, 23(4),517–527. DOI: 10.1590/01047760201723042388

Fournier, L.A. 1974. Un método cuantitativo para la medición de características fenologicas en arbóles. Turrialba, 24(1), 422–423.

Franco, A. C., Bustamante, M., Caldas, L. S., Goldstein, G., Meinzer, F. C., Kozovits, A. R., Rundel, P., & Coradin, V. T. R. 2005. Leaf functional traits of Neotropical savanna trees in relation to seasonal water deficit. Trees, 19(3), 326–335. DOI: 10.1007/s00468-004-0394-z

Freitas, J. L., Santos, A. C., Silva, R. B. L., Rabelo, F. G., Santos, E. S., & Silva, T. L. 2013. Fenologia reprodutiva da espécie Carapa guianensis Aulb. (Andirobeira) em ecossistemas de terra firme e várzea, Amapá, Brasil. Biota Amazônia, 3(1), 31–38. DOI: 10.18561/2179-5746/biotaamazonia.v3n1p31-38

Guilherme, F. A., Salgado, A. A., Costa, E. A., & Zortéa, M. 2011. Fenologia de Cybistax antisyphilitica (Mart.) Mart. (Bignoniaceae) na região urbana de Jataí, Goiás. Bioscience Journal, 27(1), 138–147.

Griz, L. M. S., & Machado, I. C. S. 2001. Fruiting phenology and seed dispersal syndromes in Caatinga, a tropical dry forest in the northeast of Brazil. Journal of Tropical Ecology, 17(2), 303–321. DOI: 10.1017/S0266467401001201

Hatfield, J. L., & Prueger, J. H. 2015. Temperature extremes: Effect on plant growth and development. Weather and Climate Extremes, 10(A), 4–10. DOI:10.1016/j.wace.2015.08.001

Köppen, W., & Geiger, R. 1928. Klimate der Erde. Gotha: Verlag Justus Perthes.

Lacerda, D. M. A., Rossatto, D. R., Ribeiro - Novaes, E. K. M. D., & Almeida Junior, E. B. 2018. Reproductive phenology differs between evergreen and deciduous species in a Northeast Brazilian savana. Acta Botânica Brasílica, 32(3), 367–375. DOI. 10.1590/0102-33062017abb0343

Mohandass, D., Campbell, M. J., Chen, X. S., & Li, Q. L. 2018. Flowering and fruiting phenology of woody trees in the tropical-seasonal rainforest, Southwestern China. Current Science, 114(11), 2313–2322. DOI: 10.18520/cs/v114/i11/2313-2322

Morellato, L. P. C., Alberti, L. F., & Hudson, I. L. 2010. Applications of circular statistics in plant phenology: a case studies approach. In: Hudson, I. L. & Keatley, M (Eds). Phenological research: methods for environmental and climate change analysis. Springer, New York, p. 339–359.

Myers, N., Mittermeier, R. A., Mittermeier, C. G., Fonseca, G. A. B., & Kent, J. 2000. Biodiversity hotspots for conservation priorities. Nature, 403(6772), 853–858. DOI: 35002501

Newstrom, L. E., Frankie, G. W., & Baker, H. G, 1994. A new classification for plant phenology based on flowering patterns in Lowland Tropical Rain Forest Trees at La Selva, Costa Rica. Biotropica, 26 (2), 141–159. DOI: 10.2307/2388804

Nogueira, F. C. B., Filho, A. J. S. P., Gallão, M. I., Bezerra, A. M. E., & Filho, S. M. 2013. Fenologia de Dalbergia cearensis Ducke (Fabaceae) em um fragmento de floresta estacional, no semiárido do Nordeste, Brasil. Revista Árvore, 37(4), 657–667. DOI:10.1590/S0100-67622013000400009.

Nunes, Y. R. F., Luz, G. R., & Braga, L. L. 2012. Fenologia das populações de espécies arbóreas em florestas tropicais secas do sudeste do Brasil. Em: Zhang, X. (Ed). Fenologia e mudança climática. InTech. p. 125–142.

Oliveira, P. E. 2008. Fenologia e biologia reprodutiva das espécies de Cerrado. In Cerrado: ambiente e flora. Em: S. M. Sano & S. P. Almeida (Eds). EMBRAPA - Cerrados, Planaltina, p.169–188.

Oliveira, P. E., & Silva, J. C. S. 1993. Reproductive biology of two species of Kielmeyera (Guttiferae) in Cerrados of Central Brazil. Journal of Tropical Ecology, 9(1), 67–79.

Omondi, S. F., Odee, D. W., Ongamo, G. O., Kanya, J. I., & Khasa, D. P. 2016. Synchrony in Leafing, Flowering, and Fruiting Phenology of Senegalia senegal within Lake Baringo Woodland, Kenya: Implication for Conservation and Tree Improvement. International Journal of Forestry Research, 2016 (4), 1–11 DOI:10.1155/2016/6904834

Ougham, H. J., Morris, P., & Thomas, H. 2005. The colors of autumn leaves as symptoms of cellular recycling and defenses against environmental stresses. Current Topics in Developmental Biology, 66(1), 135–160. DOI:10.1016/S0070-2153(05)66004-8

Parmesan, C. 2007. Influences of species, latitudes and methodologies on estimates of phenological response to global warming. Global Change Biology, 13(9), 1860–1872. DOI: 10.1111/j.1365-2486.2007.01404.x

Pau, S., Wolkovich, E. M., Cook, B. I., Davies, T. J., Kraft, N. J., Bolmgren, K., Betancourt, J. L., & Cleland, E. E. 2011. Predicting phenology by integrating ecology, evolution and climate science. Global Change Biology, 17(12), 3633–3643. DOI: 10.1111/j.1365-2486.2011.02515.x

Pilon, N. A. L., Udulutsch, R. G., & Durigan, G. 2015. Padrões fenológicos de 111 espécies de Cerrado em condições de cultivo. Hoehnea, 42(3): 425–443. DOI: 10.1590/2236-8906-07/2015

Poulin, B., Wright, S. J., Lefebvre, G., & Calderson, O. 1999. Interspecific synchrony and asynchrony in the fruiting phenologies of congeneric bird-dispersed plants in Panama. Journal of Tropical Ecology, 15(2), 213–227. DOI: 10.1017/S0266467499000760

Prado-Júnior, J. A., Vale, V. S., Lopes S. F., & Dias Neto, O. C. 2012. Comparação florística, estrutural e ecológica da vegetação arbórea das fitofisionomias de um remanescente urbano de cerrado. Bioscience Journal, 28(3), 456–471.

Quirino, Z. G. M., & Machado, I. C. 2014. Pollination syndromes in a Caatinga plant community in northeastern Brazil: seasonal availability of floral resources in different plant growth habits. Brazilian Journal of Biology, 74(1), 62–71. DOI:10.1590/1519-6984.17212

Ranieri, B. D., Negreiros, D., Lana, T. C., Pezzini, F. F., & Fernandes, G.W. 2012. Fenologia reprodutiva, sazonalidade e germinação de Kielmeyera regalis Saddi (Clusiaceae), espécie endêmica dos campos rupestres da Cadeia do Espinhaço, Brasil. Acta Botânica Brasílica, 26(3): 632–641. DOI: 10.1590/S0102-33062012000300012

Rathcke, B., & Lacey, E. P. 1985. Phenological patterns of terrestrial plants. Annual Review of Ecology and Systematics, 16(1), 179–214. DOI: 10.1146/annurev.es.16.110185.001143

Rissi, M. M., & Cavassan, O. 2013. Uma proposta de material didático baseado nas espécies de Vochysiaceae existentes em uma trilha no cerrado de Bauru – SP. Biota Neotropica, 13(1), 27–41. DOI: 10.1590/S1676-06032013000100003

Santos, F. V., Nasser, A. L., Biso, F. I., Moreira, L. M., Santos, V. J., Vilegas, W., & Varanda, E. A. 2011. Genotoxicity of polar and apolar extracts obtained from Qualea multiflora and Qualea grandiflora. Journal of Ethnopharmacology, 138(1), 105–100. DOI:10.1016/j.jep.2011.08.062

Silva, P. O. 2016. Estratégias fenológicas reprodutivas de Xylopia aromatica (Lam.) Mart. (Annonaceae) em área de Cerrado. Cerne, 22(1), 129–136. DOI: 10.1590/01047760201622012059

Silvério, D. V., & Lenza, E. 2010. Fenologia de espécies lenhosas em um cerrado típico no Parque Municipal do Bacaba, Nova Xavantina, Mato Grosso, Brasil. Biota Neotropica, 10(3), 205–216. DOI: 10.1590/S167606032010000300024.

Soares, M. P., Silva, P. O., Sá, J. L., Reys, P., Dourado, D. M., & Santos, T. M. 2013. Fenologia de Annona coriacea Mart. (Annonaceae) em um fragmento de cerrado sensu stricto em Rio Verde, Goiás. Revista do Instituto Florestal, 25(1), 107–113.

Stevenson, P. R., Castellanos, M. C., Cortes, A. I., & Link, A. 2008. Flowering patterns in a-seasonal tropical lowland forest in western Amazonia. Biotropica, 40(5), 559–567. DOI: 10.1111/j.1744-7429.2008.00417.x

Varassin, I. G., & Silva, W. R. 1999. Padrões estacionais de frutificação e germinação de sementes em cerrado, Minas Gerais. Boletim do Museu de Biologia Mello Leitão, 10 (1), 13–28.

Wolfe, B. T., & Kursar, T. A. 2015. Diverse patterns of stored water use among saplings in seasonally dry tropical forests. Oecologia, 179(4), 925–936. DOI: 10.1007/s00442-015-3329-z.

Wright, S. J., & Van, Schaik, C. P. 1994. Light and the phenology of Tropical Trees. American Naturalist, 143(1), 192–199.

Zar, J. H. 1999. Biostatistical analysis. 4th ed. Prentice Hall, New Jersey.

Published

2020-03-16