CLUSIA HILARIANA, A KEY SPECIES ON NUTRIENT CYCLING IN SAND DUNE VEGETATION THICKETS
DOI:
https://doi.org/10.4257/oeco.2020.2402.13Keywords:
decomposition, litterfall, nurse plant, restinga, soil.Abstract
Interspecific plant-plant interactions studies showed that Clusia hilariana plays a facilitation role in the scattered vegetation thickets of the Brazilian sandy coastal plain vegetation (Restinga). In the Clusia open formation in the Jurubatiba Restinga National Park there are thickets differing in the presence and senescence of Clusia: (1) healthy Clusia thickets (HCT); (2) senescent Clusia thickets (SCT); and also (3) thickets without Clusia (TWC). The aim of this long term study was to assess soil chemistry, litterfall mass and nutrient input and its leaf-litter decomposition in Clusia thickets, testing the hypotheses that: (1) the presence of Clusia increases soil nutrient concentrations in the thickets; (2) litterfall mass and nutrient input are dependent on the senescence stage of Clusia, being higher in HCT than in SCT; (3) decomposition and nutrient release of Clusia leaves are faster in HCT than in SCT, evaluating if C. hilariana promotes an improvement in nutrient cycling according to its presence and senescence in the thickets and reinforcing the role of Clusia as a nurse plant. Collection of nutrients in soils, litterfall and Clusia leaf decomposition rates were measured between 2001 and 2008. The HCTs presented higher annual litterfall mass and nutrient input than the SCTs, Clusia leaf-fall contributed the bulk of the total litterfall (70 % HCT, 34 % SCT). Nitrogen, as all other nutrient inputs from Clusia leaf-litter, was higher in HCT, although Clusia leaves had low N concentrations and a higher C/N ratio. Clusia-leaf decomposition was faster in HCT than in SCT during the first year of the experiment. The slow decomposition and nutrient release from Clusia leaf-litter, may be an important mechanism of nutrient conservation. We concluded that C. hilariana acts as a key species, and as a nurse plant, in relation to nutritional dynamics, organic matter, nutrient input, and decomposition via its litter, which decreased according to its senescence.
Downloads
References
Allen, S.E. 1989. Chemical Analysis of Ecological Materials. 2nd. edition. Blackwell Scientific Publications. London.
Alvares, C. A., Stape, J. L., Sentelhas, P. C., de Moraes, G., Leonardo, J., & Sparovek, G. 2013. Köppen's climate classification map for Brazil. Meteorologische Zeitschrift, 22(6), 711–728. DOI:10.1127/0941-2948/2013/0507
Arantes C.S., Vale V.S., Oliveira A.P., Prado Júnior J.A., Lopes S.F., Schiavini I. 2014. Forest species colonizing cerrado open areas: distance and area effects on the nucleation process. Brazilian Journal of Botany, 37, 143–150. DOI:10.1007/s40415-014-0051-8
Araújo, D. S. & Pereira. 2009. Tropical Biology and Conservation Management: Sandy Coastal Vegetation. In: Del Claro, K., Oliveira, P. S., Rico-Gray, V. (Eds.). Encyclopedia of Life Support Systems (UNESCO-EOLSS).
Araujo, D.S.D., Scarano, F.R., Sá, C.F.C., Kurtz, B.C., Zaluar, H.L.T., Montezuma, R.C.M & Oliveira, R.C. 1998. Comunidade Vegetais do Parque Nacional da Restinga de Jurubatiba. In: Esteves, F.A (Eds.). Ecologia das Lagoas Costeiras do Parque Nacional da Restinga de Jurubatiba e do Município de Macaé, Rio de Janeiro. pp. 39–62. NUPEM/UFRJ.
Berendse, F., Lammerts, E.J. e Olff. H. 1998. Soil organic matter accumulation and its implications for nitrogen mineralization and plant species composition during succession in coastal dune slacks. Plant Ecology, 137, 71–78. DOI:10.1023/a:1008051931963
Bonadiman, G. S. L. 2007. Decomposição e liberação de nutrientes de folhas de Clusia hilariana Schltall (Clusiaceae) em moitas da formação arbustiva aberta de Clusia no Parque Nacional da Restinga de Jurubatiba, RJ. Master thesis. Centro de Biociências e Biotecnologia da Universidade Estadual do Norte Fluminense - UENF. p. 95.
Brietz, R. M., et al. 2005. Ciclagem de nutrientes na planície costeira. In: Marques, M. C. M. & Britez, R. M. (Eds.). História Natural e Conservação da Ilha do Mel. pp. 145–168. Editora da Universidade Federal do Paraná.
Brito, L. S., Irmler, U., Forte, B. V. G., Xavier, T. P., & Martins, R. L. 2018. Matter turnover in the oligotrophic restinga ecosystem and the importance of the key species Clusia hilariana. Biota Neotropica, 18(4), 1–10. DOI:10.1590/1676-0611-bn-2018-0552
Brooker RW, Maestre FT, Callaway RM, Lortie CL, Cavieres LA, Kunstler G, Liancourt P, Tielbörger K, Travis JMJ, Anthelme F, Armas C, Coll L, Corcket E, Delzon S, Forey E, Kikvidze Z, Olofsson J, Pugnaire FI, Quiroz CL, Saccone P, Schiffers K, Seifan M, Touzard B, Michalet R. 2007. Facilitation in plant communities: the past, the present, and the future. Journal of Ecology, 96, 18–34. DOI: 10.1111/j.1365-2745.2007.01295.x
Brown, K.S.1982. Productivity and herbivory in high and low diversity tropical successional ecosystem in Costa Rica. PhD. Thesis. University of Florida, Gainsville, Florida. DOI: 10.5962/bhl.title.42683
Camara, R., Silva, V. D., Delaqua, G.C. G., Lisbôa, C. P., Villela, D.M. 2018. Relação entre sucessão secundária, solo e serapilheira em uma Reserva Biológica no estado do Rio de Janeiro, Brasil. Ciência Florestal, 28, 674–686. DOI: 10.5902/1980509832066
Cogliatti-Carvalho, L., Freitas, A.F.N., Rocha, C.F.D. e Sluys, M.V. 2001. Distribuição espacial de bromélias na Restinga de Jurubatiba, Macaé, RJ. Revista Brasileira de Botânica, 24 (1), 1–9. DOI:10.1590/S0100-84042001000100001
Congdon, R., & Herbohn, J. 1993. Ecosystem dynamics of disturbed and undisturbed sites in north Queensland wet tropical rain forest. I. Floristic composition, climate and soil chemistry. Journal of Tropical Ecology, 9(3), 349–363. DOI: 10.1017/S0266467400007409
Correia, C. M. B., Dias, A. T. C., Scarano, F. R. 2010 Plant-plant associations and population structure of four woody plant species in a patchy coastal vegetation of Southeastern Brazil. Revista Brasil de Botânica, 33(4), 607–613. DOI: 10.1590/S0100-84042010000400009
Dalotto, C.E.S., Sühs, R. B., Dechoum, M.S., Pugnaire, F. I., Peroni, N. & Castellani, T.T. 2018. Facilitation influences patterns of perennial species abundance and richness in a subtropical dune system. AoB Plants, 10, 1–8. DOI: 10.1093/aobpla/ply017
Dias, A. T. C. 2008. O papel das espécies da restinga aberta arbustiva de Clusia no funcionamento do ecossistema. Doctoral thesis. Programa de Pós-graduação em Ecologia da Universidade Federal do Rio de Janeiro. p. 54
Dias, A. T. C., Mattos, E. A., Vieira, S. A., Azeredo, J. V. & Scarano, F. R. 2006. Aboveground biomass stock of native woodland on a Brazilian sandy coastal plain: estimates based on the dominant tree species. Forest Ecology and Management, 226(1-3), 364–367. DOI:10.1016/j.foreco.2006.01.020
Dias, A.T.C. & Scarano, F.R. 2007. Clusia as nurse plant. In: U. Lüttge (Eds.). Clusia - a woody neotropical genus with remarkable plasticity and diversity. pp. 55–72. Springer, Heidelberg, DOI:10.1007/978-3-540-37243-1_5
Dias, A.T.C., Zaluar, H.L.T., Ganade, G. & Scarano, F.R. 2005. Canopy composition influencing plant patch dynamics in a Brazilian sandy coastal plain. Journal of Tropical Ecology, 21, 343–347. DOI:10.1017/s0266467404002226
Drezner, T. D., Garrity, C. M. 2003. Saguaro distribution under nurse plants in Arizona’s Sonora Desert Directional and microclimate influences. The Professional Geographer, 55 (4), 505–551. DOI: 10.1111/0033-0124.5504008
EMBRAPA. 1997. Manual de Métodos de Análises de solos. Serviço Nacional de Levantamento e Conservação de Solos, Empresa Brasileira de Pesquisa Agropecuária, Rio de Janeiro. p. 212.
Ewel, J. 1976. Litterfall and litter decomposition in a tropical forest succession in eastern Guatemala. Journal of Ecology, 64, 293–308. DOI: 10.2307/2258696
Franco, A.C. & Nobel, P.S. 1989. Effect of nurse plants on the microhabitat and growth of cacti. Journal of Ecology,77, 870–886. DOI: 10.2307/2260991
Franco, P., Jesus, G., Fulbright, T.E. Gardiner, T. e Tipton, A.R. 1996. Shrub emergence and seedling growth in microenvironments created by Prosopis glandulosa. Journal of Vegetation Science, 7, 257–264. DOI: 10.2307/3236326
Gripp, A. R., Tavares, L. A. F.; Villela, D. M., Silva, Ana Paula da, Brito, L. S., Caliman, A., Mattos, Eduardo Arcoverde de, Dias, A. T. C., Esteves F. A., Martins R. L. In press a. Preciptation deficits and high temperature increases leaf litterfall in open restinga vegetation in Southern Brazil. Oecologia Australis.
Gripp, A. R, Brito, L.S., Tavares, L. A. F., Souza, Q, Caliman, A., Dias, A. T. C., Villela, D. M., Silva, A. P. Esteves, F. A. & Martins, R. L. In press b. Estado da arte das pesquisas em decomposição de detritos foliares de origem terrestres do PARNA da Restinga de Jurubatiba. In: Gonçalves, P. R., Petry, A. C., Martins, R. L, Esteves, F. A. (Eds.). “Mudanças ambientais e o funcionamento dos ecossistemas do Parque Nacional da Restinga de Jurubatiba” Nupem, UFRJ, Brazil
Haghverdi, H. & Kooch, Y. 2019. Effects of diversity of tree species on nutrient cycling and soil-related processes. Catena, 178, 335–344. DOI:10.1016/j.catena.2019.03.041
Hay, J.D & Lacerda, L.D. 1980. Alterações nas características do solo após a fixação de Neoregelia cruenta em um Ecossistema de Restinga. Ciência e Cultura. p. 32.
Hay, J. D. & Lacerda, L. D. 1984. Ciclagem de Nutrientes no Ecossistema de Restinga. In: Lacerda, L. D., Araújo, D. S. D., Cerqueira, R & Turq, B. (Eds.). Restingas: origem, estrutura, processos. pp. 459–473. CEUFF. Niterói.
Henriques, R. P. B. e Hay, J. D. 1992. Nutrient content and the structure of a plant community on a tropical beach-dune system in Brazil. Acta Oecologia, 13(1), 101–117.
Hobbie, S. E. 1992. Effects of plant species on nutrient cycling. Trends in Ecology and Evolution, 7, 336–339. DOI:10.1016/0169-5347(92)90126-V
Hobbie, S.E; 2015. Plant species effects on nutrient cycling: revisiting litter feedbacks. Trends in Ecology & Evolution, 30 (6), 357–363. DOI:10.1016/j.tree.2015.03.015
Kindel, A., Barbosa, P. M. S., Pérez, D. V. & Garay, I. 1999. Efeito do extrativismo seletivo de espécies arbóreas da floresta atlântica de tabuleiros na matéria orgânica e outros atributos do solo. Revista Brasileira de Ciência do Solo, 23, 465–474. DOI:10.1590/S0100-06831999000200029
Louzada, M. A. P., Curvello, A., Barbosa, J. H. Garay, I. 1997. O aporte de matéria orgânica ao solo: quantificação, fenologia e suas relações com a composição específica em área de Floresta Atlântica de Tabuleiros. Leandra (UFRJ), Rio de Janeiro. 12, 27–32.
Lüttge U. 2007. Clusia: A Woody Neotropical Genus of Remarkable Plasticity and Diversity. Ecological Studies 194, Springer-Verlag, Berlin. p. 274.
Luttge, U. 2010. Review. Ability of crassulacean acid metabolism plants to overcome interacting stresses in tropical environments. AoB Plants, plq005, DOI:10.1093/aobpla/plq005
Mantuano, D. G. 2003. Distribuição espacial e respostas ecofisiológicas do sub-bosque da formação arbustiva aberta de Clusia à diminuição da cobertura da espécie-focal Clusia hilariana no PARNA da Restinga de Jurubatiba. Master thesis. Programa de Pós-Graduação em Ecologia da Universidade Federal do Rio de Janeiro.
Martinelli, L. A., Lins, S. R. M., Santos-Silva, J. C. dos. 2017. Fine litterfall in the Brazilian Atlantic Forest. Biotropica 49(4), 443–451. DOI:10.1111/btp.12448
Menezes, L.F.T. & Araujo, D.S.D. 2000. Variação da biomassa aérea de Allagoptera arenaria (Gomes) O. Kuntze (Arecaceae) em uma comunidade arbustiva de palmae na Restinga de Marambaia. Revista Brasileira de Biologia, 60(1), 147–157. DOI: 10.1590/S0034-71082000000100017
Moraes, R.M., Delitti, W.B.C. & Struffaldi-de Vuono, Y. 1999. Litterfall and litter nutrient content in two Brazilian Tropical Forests. Revista Brasileira de Botânica, 22(1), 9–16. DOI: 10.1590/S0100-84041999000100002
Navarro-Cano, J.A., Horner, B. Goberna, M., Verdú, M. 2019. Additive effects of nurse and facilitated plants on ecosystem functions. Journal of Ecology, 1–11. DOI:10.1111/1365-2745.13224
Olson, J. S. 1963. Energy storage and the balance of producers and decomposers in ecological systems. Ecology,44, 322–331. DOI:10.2307/1932179
Pagano, S.N. 1989. Nutrientes minerais no folhedo produzido em matamesófila semidecídua no município de Rio Claro, SP. Revista Brasileira de Biologia, 49, 641–647.
Pimentel, M. C. P., Barros, M. J., Cirne, P., Mattos, E. A. D., Oliveira, R. C., Pereira, M. C. A., Scarano, F. R., Zaluar, H. L.T., Araujo, D. S. D., 2007. Spatial variation in the structure and floristic composition of “restinga” vegetation in southeastern Brazil. Revista Brasileira de Botânica. 30, 543–551. DOI:10.1590/S0100-84042007000300018
Pires, L.A., Britez, R.M., Martel, G. & Pagano, S.N. 2006. Produção, acúmulo e decomposição da serapilheira em uma restinga da Ilha do Mel, Paranaguá, PR, Brasil. Acta Botânica Brasílica, 20 (1),173–184. DOI:10.1590/S0102-33062006000100016
Prescott, C.E. 2002. The influence of the forest canopy on nutrient cycling. Tree Physiology, 22, 1193–1200. DOI:10.1093/treephys/22.15-16.1193
Proctor, J. 1983. Tropical forest litterfall. I. Problems of data comparation. In S.L. Sutton, T.C. Whitmore, and A.C. Chadwick (Eds.). Tropical Rain Forest and Management. pp. 267–273. Oxford: Blackweell Scientific Publications.
Ramos, M.C.L & Pellens. R. 1993. Produção de Serrapilheira em Ecossistema de Restinga em Maricá. Rio de Janeiro. pp. 89–98. III Simpósio de Ecossistema da Costa Brasileira, ACIESP.
Ramos, J. V. R. 2003. Facilitação ou Competição? O efeito da senescência de Clusia hilariana sobre o seu sub-bosque em ilhas de vegetação de restinga. Master thesis. Programa de Pós-Graduação em Ecologia da Universidade Federal do Rio de Janeiro, Rio de Janeiro.
Riggs, C.E., Hobbie, E.E., CavenderBares, J., Savage, J.A., Wei, X. 2015. Contrasting effects of plant species traits and moisture on the decomposition of multiple litter fractions. Oecologia, 179, 573–584. DOI: 10.1007/s00442-015-3352-0
Rosado, B. H. P. & Mattos, E. A. de. 2010 Interspecific variation of functional traits in a CAM-tree dominatedsandy coastal plain. Journal of Vegetation Science, 21, 43–54. DOI:10.1111/j.1654-1103.2009.01119.x
Saiter, F. Z., Wendt, T., Villela, D. M., Nascimento, M. T. 2009. Tropical Biology and Conservation Management: Rain Forests: Floristics. In: Del Claro, K., Oliveira, P. S., Rico-Gray, V. (Eds.). Encyclopedia of Life Support Systems. pp. 203–228. UNESCO.
Scarano, F., Cirne, P., Nascimento, M. T., Sampaio, M. C; Villela, D. M., Zaluar, H. L. T., Wendt, T. 2004. Ecologia Vegetal: integrando ecossistema, comunidades, populações e organismo. In: Rocha, C. F., Scarano, F. R., Esteves, F. (Eds.). Pesquisas de Longa Duração na Restinga de Jurubatiba: Ecologia, História. p. 77–97. São Carlos.
Silva, B.A.O. 1999. Mosaicos Nutricionais na interrelação Vegetação/Solos/Termiteiros em um ecossistema de Restinga- Formação Aberta de Ericácea, RJ. Master thesis. Universidade Federal de São Carlos. SP. p. 76.
Silva, A.P., Villela, D. M. 2015. Nutrientes foliares de espécies arbóreas na mata atlântica: efeito do tamanho do fragmento. Ciência Florestal, 25, 317–325. DOI:10.5902/1980509818449
Swift, M.J., Anderson, J.M. 1989. Decomposition: Tropical Rain Forest Ecosystems. In: Lieth, H and Weger, M.J.A. (Eds.). Ecosystems of the World. pp. 547–569. Elsevier Science. DOI: 10.1016/B978-0-444-42755-7.50037-7
Team, R. C. 2019. R: A language and environment for statistical computing. Vienna, Austria: R Foundation for Statistical Computing. Retrieved from https://www.R-project.org/.
Vetaas, O.R. 1992. Micro-site effects of trees and shrubs in dry savannas. Journal of Vegetation Science, 3, 337–344. DOI:10.2307/3235758
Villela, D.M., Buffon, L.B., Aragão, L.E.O.C., Gama, D.M., Nascimento, M.T. & Rezende, C.E. 1998. Effect of selective logging on litter production and decomposition in an Atlantic Forest, RJ, Brazil. In: Anais do IV Simpósio de ecossistemas brasileiros. pp. 253–263. ACIESP, São Paulo.
Villela, D.M. & Proctor, J. 1999. Litterfall mass and chemistry, and nutrient retranslocation in a monodominant forest on Maracá island, Roraima, Brazil. Biotropica, 31(2), 198–211. DOI:10.1111/j.1744-7429.1999.tb00132.x
Villela, D.M. Proctor, J. 2002. Leaf litter decomposition and monodominance in the Peltogyne Forest of Maracá Island, Brazil. Biotropica, 34(3), 334–347. DOI:10.1646/0006-3606(2002)034[0334:lldami]2.0.co;2
Villela, D.M., Nascimento, M. T., Aragão, L. E. O. C; Gama, D. M. 2006. Effect of selective logging on forest structure and nutrient cycling in a seasonally dry Brazilian Atlantic forest. Journal of Biogeography. Inglaterra. 33, 506–516. DOI:10.1111/j.1365-2699.2005.01453.x
Villela, D. M.; Mattos, E. A., Pinto, A. S., Vieira, S. A., Martinelli, L. A. 2012. Carbon and nitrogen stocks and fluxes in coastal Atlantic Forest of southeast Brazil: potential impacts of climate change on biogeochemical functioning. Brazilian Journal of Biology, 72, 633–642. DOI:10.1590/S1519-69842012000400003
Vitousek, P.M. 1982. Nutrient cycling and nutrient use efficiency. The American Naturalist,119(4), 553–572. DOI:10.1086/283931
Vitousek, P.M. 2004. Nutrient cycling and limitation: Hawai’i as a model system. Princeton University Press, p. 232. DOI:10.1515/9780691190341
Zaluar, H.L.T & Scarano, F.B. 2000. Facilitação em Restingas de Moitas: Um século de buscas por espécies focais. In: Esteves, F.A & Lacerda, L.D. (Eds.). Ecologia de Restinga e Lagoas Costeiras. NUPEM/UFRJ.RJ. pp. 3–23.
Zar, J.H. 1984. Biostatistical analyses. Second edition. Prentice Hall International, New Jersey, USA. p. 718.
Downloads
Additional Files
- Figure 1. Map of location of Jurubatiba Restinga National Park (22o23'S; 4o45'W), Carapebus, RJ, Brazil.
- Figure 2. Season variation of Clusia leaves (A), other leaves (B) and total litterfall (C) (g m-2 day-1) in health Clusia thickets (HCT, n=6) and senescent Clusia thickets (SCT, n=6) from 14th October 2001 to 30th October 2008, at Jurubatiba Restinga Nat
- Figure 3. Percentage (x +- SD) original dry mass remaining with time (d) in Clusia hilariana leaves in HCT and SCT on Jurubatiba Restinga National Park, RJ, Brazil
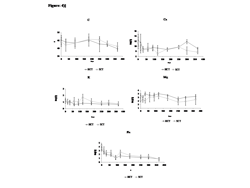
- Figure 4. Season variation of the concentration C, Ca, K, Mg e Na in decomposing Clusia leaves, over the 367 days, in health Clusia thickets (HCT) and senescent Clusia thickets (SCT), on Jurubatiba Restinga National Park, RJ, Brazil.
- Figure 5.Potassium and sodium concentrations as a function of the percentage original dry mass of Clusia hilariana leaves in health Clusia thickets (HCT) and senescent Clusia thickets (SCT)on Jurubatiba Restinga National Park, RJ, Brazil. NS = not signifi
- Cover letter PELD SPECIAL ISSUE
- SUPPLEMENTARY MATERIAL Suplementary Table 1.