METROPOLITAN MAMMALS: UNDERSTANDING THE THREATS INSIDE AN URBAN PROTECTED AREA

Authors

  • Miguel Coutinho Moretta Monteiro PUC-Rio Mamirauá Sustainable Development Institute
  • Paula Koeler Lira PUC-Rio

DOI:

https://doi.org/10.4257/oeco.2020.2403.10

Keywords:

Atlantic Forest, Brazil, Human-induced disturbances, Large and medium-sized mammals, Urban Ecology

Abstract

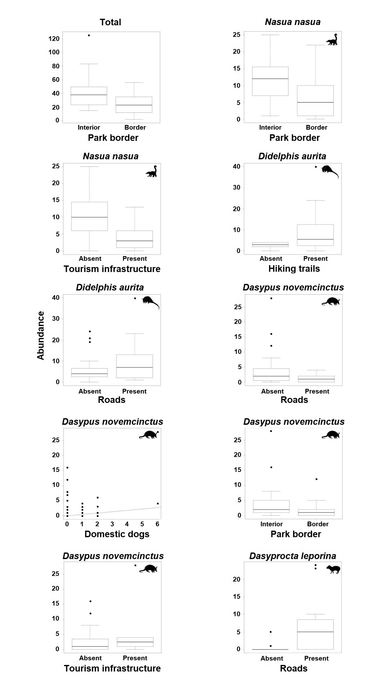
Protected areas (PA) are widely recognized as conservation cornerstones. However, we still lack information about PA effectiveness in conserving biodiversity. With the accelerating process of urbanization, urban PAs have gained increasing importance. Thus, evaluating their effectiveness is particularly urgent, especially when located in a biodiversity hotspot. The aim of this study was to describe the large and medium-sized mammalian community within Tijuca National Park (TNP) – an urban PA located in the Atlantic Forest biodiversity hotspot – and to investigate if it is affected by proximity to the park border and by potential threats that occur inside the park such as roads, hiking trails, tourism infrastructure, domestic dogs and hunting. A camera-trap survey was conducted in a grid with 42 sampling units from April to September 2016. Each sampling unit was categorized as park border or interior and according to the aforementioned potential threats. A model selection framework was employed to evaluate the effects of threats on species richness and abundance. Our findings suggest that TNP harbors an impoverished fauna of large and medium-sized mammals when compared with larger and more well-preserved Atlantic Forest PAs. Furthermore, our results highlight that the mammalian abundance was affected by edge effects, presence of roads and tourism infrastructure and abundance of domestic dogs. We highlight some management actions to properly control and minimize those threats and increase the effectiveness of TNP in conserving biodiversity

Downloads

Download data is not yet available.

References

Allevato, H. L. 2013. Padrões espaciais e uso do habitat pelo quati Nasua nasua, (Carnivora; Procyonidae), em um fragmento de floresta atlântica urbana sob influência de recursos antropogênicos. Master thesis. Departamento de Ecologia da Universidade Federal do Rio de Janeiro. p. 69.

Aximoff, I., Cronemberger, C., & Pereira, F. de A. 2015. Amostragem de longa duração por armadilhas fotográficas dos mamíferos terrestres em dois parques nacionais no estado do Rio de Janeiro. Oecologia Australis, 19(1), 215–231.

Benítez-López, A., Alkemade, R., & Verweij, P. A. 2010. The impacts of roads and other infrastructure on mammal and bird populations: A meta-analysis. Biological Conservation, 143(6), 1307–1316.

Bolker, B. & R Development Core Team. 2017. Bbmle: Tools for General Maximum Likelihood Estimation. R package version 1.0.20. https://CRAN.R-project.org/package=bbmle

Burnham, K. P., & Anderson, D. R. 2002. Model Seleciton and Multimodel Inference. 2nd ed. New York, NY: Springer-Verlag: p. 488.

Cáceres, N. C., Hannibal, W., Freitas, D. R., Silva, E. L., Roman, C., & Casella, J. 2010. Mammal occurrence and roadkill in two adjacent ecoregions (Atlantic Forest and Cerrado) in south-western Brazil. Zoologia (Curitiba), 27(5), 709–717.

Campos, C. B., Esteves, C. F., Ferraz, K. M. P. M. B., Crawshaw, P. G., & Verdade, L. M. 2007. Diet of free-ranging cats and dogs in a suburban and rural environment, south-eastern Brazil. Journal of Zoology, 273(1), 14–20.

Carranza, T., Balmford, A., Kapos, V., & Manica, A. 2014. Protected area effectiveness in reducing conversion in a rapidly vanishing ecosystem: The Brazilian Cerrado. Conservation Letters, 7(3), 216–223.

Cassano, C. R., Barlow, J., & Pardini, R. 2014. Forest loss or management intensification? Identifying causes of mammal decline in cacao agroforests. Biological Conservation, 169, 14–22.

Cid, B., Figueira, L., Flora, A., Mello, D. T., Alexandra, S. P., & Fernandez, F. A. S. 2014. Short-term success in the reintroduction of the red-humped agouti Dasyprocta leporina, an important seed disperser, in a Brazilian Atlantic Forest reserve. Tropical Conservation Science, 7(4), 796–810.

Cronemberger, C., Delciellos, A. C., Barros, C. S., Gentile, R., Weksler, M., Braz, A. G., Teixeira, B. R., Loretto, D., Vilar, E. M., Pereira, F. A., Santos, J. R. C., Geise, L., Pereira, L. G., Aguieiras, M., Vieira, M. V., Estrela, P. C., Junger, R. B., Honorato, R. S., Moratelli, R., Vilela, R. V., Guimarães, R. R., Cerqueira, R., Costa-Neto, S. F., Cardoso, T. S. e Nascimento, J. L. 2019. Mamíferos do Parque Nacional da Serra dos Órgãos: atualização da lista de espécies e implicações para a conservação. Oecologia Australis, 23(02), 191–214.

Crooks, K. R., & Soulé, M. E. 1999. Mesopredator release and avifaunal extinctions in a fragmented system. Nature, 400(6744), 563–566.

Fernandez, F. A. S., Rheingantz, M. L., Genes, L., Kenup, C. F., Galliez, M., Cezimbra, T., Cid, B., Macedo, L., Araujo, B. B. A., Moraes, B. S., Monjeau, A., & Pires, A. S. 2017. Rewilding the Atlantic Forest: Restoring the fauna and ecological interactions of a protected area. Perspectives in Ecology and Conservation, 15(4), 308–314.

Ferraz, K. M. P. M. D. B., Ferraz, S. F. D. B., Moreira, J. R., Couto, H. T. Z., & Verdade, L. M. 2007. Capybara (Hydrochoerus hydrochaeris) distribution in agroecosystems: A cross-scale habitat analysis. Journal of Biogeography, 34(2), 223–230.

Figueiró, A. S., & Coelho-Netto, A. L. 2007. Análise da variabilidade térmica em zonas de bordas florestais com interface urbana no maciço da Tijuca, Rio de Janeiro-RJ. Ciência e Natura, 29(2), 173–186.

Fleagle, J. G., Mittermeier, R. A., & Skopec, A. L. 1981. Differential habitat use by Cebus apella and Saimiri sciureus in central surinam. Primates, 22(3), 361–367.

Forman, R. T. T., & Alexander, L. E. 1998. Roads and their major ecological effects. Annual Review of Ecology and Systematics, 29(1), 207–231.

Freitas, S. R., Neves, C. L., & Chernicharo, P. 2006. Tijuca National Park: two pioneering restorationist initiatives in Atlantic forest in southeastern Brazil. Brazilian Journal of Biology, 66(4), 975–982.

Galetti, M., Brocardo, C. R., Begotti, R. A., Hortenci, L., Rocha-Mendes, F., Bernardo, C. S. S., Bueno, R. S., Nobre, R., Bovendorp, R. S., Marques, R. M., Meirelles, F., Gobbo, S. K., Beca, G., Schmaedecke, G., Siqueira, T. 2017. Defaunation and biomass collapse of mammals in the largest Atlantic forest remnant. Animal Conservation, 20(3), 270–281.

Galetti, M., Giacomini, H. C., Bueno, R. S., Bernardo, C. S. S., Marques, R. M., Bovendorp, R. S., Steffler, C. E., Rubim, P., Gobbo, S. K., Donatti, C. I., Begotti, R. A., Meirelles F., Nobre R. A., Chiarello A. G., Peres, C. A. 2009. Priority areas for the conservation of Atlantic forest large mammals. Biological Conservation, 142(6), 1229–1241.

Galetti, M., & Sazima, I. 2006. Impact of feral dogs in an urban Atlantic forest fragment in southeastern Brazil. Natureza & Conservação, 4(1), 146–151.

Garcia, R. C. M., Calderón, N., & Ferreira, F. 2012. Consolidação de diretrizes internacionais de manejo de populações caninas em áreas urbanas e proposta de indicadores para seu gerenciamento. Revista Panamericana de Salud Pública, 32(2), 140–144.

Geldmann, J., Barnes, M., Coad, L., Craigie, I. D., Hockings, M., & Burgess, N. D. 2013. Effectiveness of terrestrial protected areas in reducing habitat loss and population declines. Biological Conservation, 161, 230–238.

Grignolio, S., Merli, E., Bongi, P., Ciuti, S., & Apollonio, M. 2011. Effects of hunting with hounds on a non-target species living on the edge of a protected area. Biological Conservation, 144(1), 641–649.

Harmsen, B. J., Foster, R. J., Silver, S., Ostro, L., & Doncaster, C. P. 2010. Differential use of trails by forest mammals and the implications for camera-trap studies: a case study from Belize. Biotropica, 42(1), 126–133.

ICMBio, (Instituto Chico Mendes de Conservação da Biodiversidade). 2008. Plano de Manejo do Parque Nacional da Tijuca. Brasília, DF: ICMBio/MMA.

ICMBio, (Instituto Chico Mendes de Conservação da Biodiversidade). 2017. Parque Nacional da Tijuca: Relatório Anual 2017. p. 11. Retrieved from http://parquenacionaldatijuca.rio/files/report_anual_2017.pdf

ICMBio, (Instituto Chico Mendes de Conservação da Biodiversidade). 2018. Livro Vermelho da Fauna Brasileira Ameaçada de Extinção. Brasília, DF: ICMBio/MMA.

IUCN 2020. The IUCN Red List of Threatened Species. Version 2020-3. http://www.iucnredlist.org.

Jerozolimski, A., & Peres, C. A. 2003. Bringing home the biggest bacon: a cross-site analysis of the structure of hunter-kill profiles in Neotropical forests. Biological Conservation, 111(3), 415–425.

Lacerda, A. C. R., Tomas, W. M., & Marinho-Filho, J. 2009. Domestic dogs as an edge effect in the Brasília National Park, Brazil: Interactions with native mammals. Animal Conservation, 12(5), 477–487.

Le Saout, S., Hoffmann, M., Shi, Y., Hughes, A., Bernard, C., Brooks, T. M., … Rodrigues, A. S. L. 2013. Protected areas and effective biodiversity conservation. Science, 342(6160), 803–805.

Lessa, I., Guimarães, T.C. S., Bergallo, H. G., Cunha, A., & Vieira, E. M. 2016. Domestic dogs in protected areas: a threat to Brazilian mammals? Natureza e Conservação, 14(2), 46–56.

Loss, S. R., Will, T., & Marra, P. P. 2013. The impact of free-ranging domestic cats on wildlife of the United States. Nature Communications, 4, 1396.

Martins, J.N., dos Santos, M., Lynch Alfaro, J., Martins, W.P., Ludwig, G., Melo, F., Miranda, J., Alonso, A.C. & Rímoli, J. 2019. Sapajus nigritus . The IUCN Red List of Threatened Species 2019: e.T136717A70614508.

Ménard, N., Foulquier, A., Vallet, D., Qarro, M., Le Gouar, P., & Pierre, J. S. 2014. How tourism and pastoralism influence population demographic changes in a threatened large mammal species. Animal Conservation, 17(2), 115–124.

Monteiro, M. C. M., Silva, K. V. K. de A., Pires, A. dos S., & Lira, P. K. 2019. First record of the naked-tailed armadillo (Cabassous sp.) at Tijuca National Park, Rio de Janeiro, Brazil. Studies on Neotropical Fauna and Environment, 54(2), 97–101.

Morrison, J. C., Sechrest, W., Dinerstein, E., Wilcove, D. S., & Lamoreux, J. F. 2007. Persistence of Large Mammal Faunas as Indicators of Global Human Impacts. Journal of Mammalogy, 88(6), 1363–1380.

Myers, N., Mittermeier, R. A., Mittermeier, C. G., da Fonseca, G. A. B., & Kent, J. 2000. Biodiversity hotspots for conservation priorities. Nature, 403(6772), 853–858.

Norris, D., Moreira Ramírez, J., Zacchi, C., Galetti, M. 2012. A survey of mid and large bodied mammals in Núcleo Caraguatatuba, Serra do Mar State Park, Brazil. Biota Neotropica, 12(2), 127–133.

Oliveira, L. C., & Grelle, C. E. V. 2012. Introduced primate species of an Atlantic Forest region in Brazil: present and future implications for the native fauna. Tropical Conservation Science, 5(1), 112–120.

Paschoal, A. M. O., Massara, R. L., Bailey, L. L., Doherty, P. F., Santos, P. M., Paglia, A. P., Hirsch, A., Chiarello, A. G. 2018. Anthropogenic Disturbances Drive Domestic Dog Use of Atlantic Forest Protected Areas. Tropical Conservation Science, 11, 194008291878983.

Paviolo, A., Cruz, P., Iezzi, M. E., Martínez Pardo, J., Varela, D., De Angelo, C., Benito, S., Vanderhoeven, E., Palacio, L., Quiroga, V., Arrabal, J. P., Costa, S., Di Bitetti, M. S. 2018. Barriers, corridors or suitable habitat? Effect of monoculture tree plantations on the habitat use and prey availability for jaguars and pumas in the Atlantic Forest. Forest Ecology and Management, 430, 576–586.

Percequillo, A.R. 2020. Sciuridae in Catálogo Taxonômico da Fauna do Brasil. PNUD. Available in: http://fauna.jbrj.gov.br/fauna/faunadobrasil/32542

R Core Team 2018. R: A language and environment for statistical computing. R Foundation for Statistical Computing, Vienna, Austria. URL https://www.R-project.org/.

Rangel, C. H., Helena, C., & Bunn, M. 2013. Predação de vertebrados por cães Canis lupus familiaris (Mammalia:Carnivora) no Jardim Botânico do Rio de Janeiro, RJ, Brasil. Biodiversidade Brasileira, 3(2), 261–269.

Reis, N. R., Fregonezi, M. N., Peracchi, A. L., Shibatta, O. A., Sartore, E. R., Rossaneis, B. K., Santos, V. R., Ferracioli, P. 2014. Mamíferos Terrestres de Médio e Grande Porte da Mata Atlântica. Rio de Janeiro, Brazil: Technical Books Editora. p. 146.

Rezende, C. L., Scarano, F. R., Assad, E. D., Joly, C. A., Metzger, J. P., Strassburg, B. B. N., Tabarelli, M., Fonseca, G. A., Mittermeier, R. A. 2018. From hotspot to hopespot : An opportunity for the Brazilian Atlantic. Perspectives in Ecology and Conservation. 16(4), 208–214.

Ribeiro, M. C., Metzger, J. P., Martensen, A. C., Ponzoni, F. J., & Hirota, M. M. 2009. The Brazilian Atlantic Forest: How much is left, and how is the remaining forest distributed? Implications for conservation. Biological Conservation, 142(6), 1141–1153.

Santos, A. M. dos. 2010. O ecoturismo, uso público e o Parque Nacional do Iguaçu. Periódico Eletrônico Fórum Ambiental Da Alta Paulista, 6(3), 229–242.

Silva, K. V. K. D. A., Kenup, C. F., Kreischer, C., Fernandez, F. A. S., & Pires, A. S. 2018. Who let the dogs out ? Occurrence, population size and daily activity of domestic dogs in an urban Atlantic Forest reserve. Perspectives in Ecology and Conservation, 16(4), 228–233.

Terborgh, J., Lopez, L., Nuñez, P. V., Rao, M., Shahabuddin, G., Orihuela, G., Riveros, M., Ascanio, R., Adler, G. H., Lambert, T. D., Balbas, L. 2001. Ecological meltdown in predator-free forest fragments. Science, 294(5548), 1923–1926.

Tobler, M. W., Carrillo-Percastegui, S. E., Pitman, R. L., Mares, R., & Powell, G. 2008. An evaluation of camera traps for inventorying large- and medium-sized terrestrial rainforest mammals. Animal Conservation, 11(3), 169–178.

UNEP-WCMC, & IUCN. 2016. Protected Planet Report 2016 - How protected areas contribute to achieving global targets for biodiversity. Cambridge, UK and Gland, Switzerland.

Vanak, A. T., & Gompper, M. E. 2010. Interference competition at the landscape level: The effect of free-ranging dogs on a native mesocarnivore. Journal of Applied Ecology, 47(6), 1225–1232.

Venables, W. N., & Ripley, B. D. 2002. Modern Applied Statistics with S. 4th ed. Springer, New York: p. 498.

Villaseñor, N. R., Driscoll, D. A., Escobar, M. A. H., Gibbons, P., & Lindenmayer, D. B. 2014. Urbanization impacts on mammals across urban-forest edges and a predictive model of edge effects. PloS One, 9(5), e97036.

Volenec, Z. M., & Dobson, A. P. 2019. Conservation value of small reserves. Conservation Biology, 1–14.

Xavier da Silva, M., Paviolo, A., Tambosi, L. R., & Pardini, R. 2018. Effectiveness of Protected Areas for biodiversity conservation: Mammal occupancy patterns in the Iguaçu National Park, Brazil. Journal for Nature Conservation, 41, 51–62.

Yasuda, M. 2004. Monitoring diversity and abundance of mammals with camera traps: a case study on Mount Tsukuba, central Japan. Mammal Study, 29(1), 37–46.

Zhou, Y., Buesching, C. D., Newman, C., Kaneko, Y., Xie, Z., & Macdonald, D. W. 2013. Balancing the benefits of ecotourism and development: The effects of visitor trail-use on mammals in a Protected Area in rapidly developing China. Biological Conservation, 165, 18–24.

Downloads

Published

2020-09-15