WILDLIFE ROADKILL IN THE SURROUNDINGS OF EMAS NATIONAL PARK, CERRADO BIOME, BRAZIL

Authors

  • Carine Firmino Carvalho-Roel Universidade Federal de Uberlândia, Instituto de Biologia, Campus Umuarama - Bloco 2D - Sala 28, Uberlândia-MG, Brasil, CEP 38405-302 https://orcid.org/0000-0002-8496-3706
  • Giselle Bastos Alves Universidade Federal de Uberlândia, Instituto de Biologia, Campus Umuarama - Bloco 2D - Sala 28, Uberlândia-MG, Brasil, CEP 38405-302
  • Anah Tereza de Almeida Jácomo Instituto Onça-Pintada/Jaguar Conservation Fund, CP 193, Mineiros-GO, Brasil, CEP 75838-899
  • Renato Alves Moreira NGO Oréades -Geoprocessing Nucleus
  • Natália Mundim Tôrres Universidade Federal de Uberlândia, Instituto de Biologia, Campus Umuarama - Bloco 2D - Sala 28, Uberlândia-MG, Brasil, CEP 38405-302
  • Leandro Silveira Instituto Onça-Pintada/Jaguar Conservation Fund, CP 193, Mineiros-GO, Brasil, CEP 75838-899

DOI:

https://doi.org/10.4257/eco.2021.2504.01

Keywords:

Parque Nacional das Emas, Road Ecology, roadkill hotspots, sugarcane harvest, wildlife-vehicle collision.

Abstract

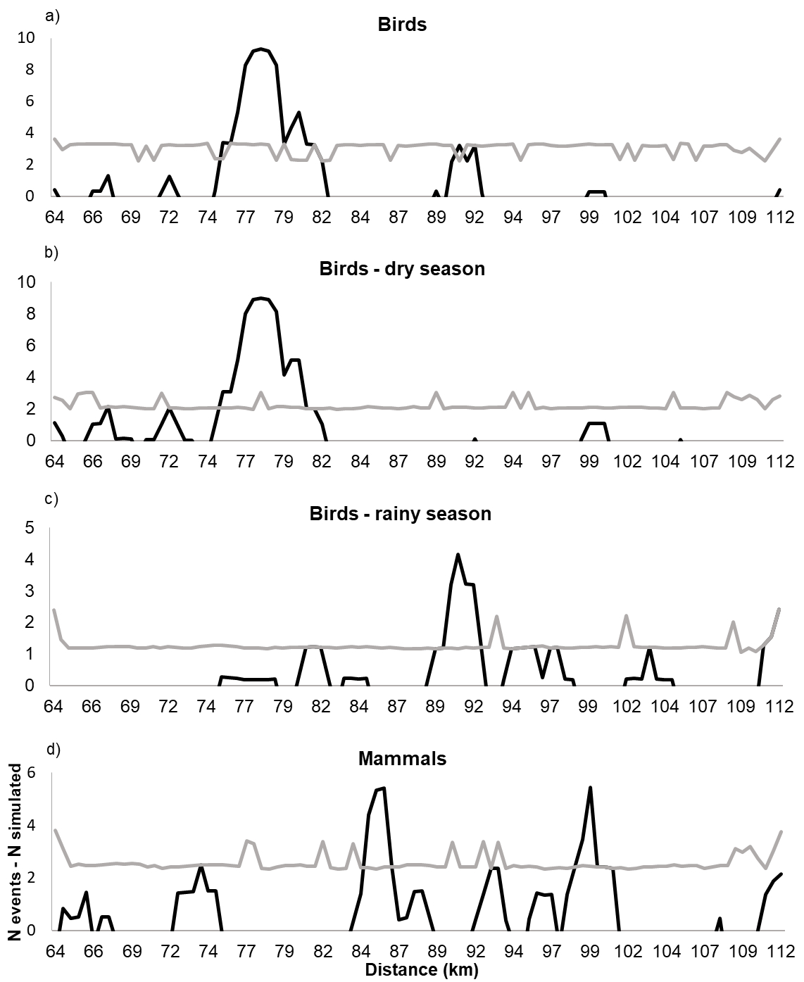
Roadkill is a serious threat to biodiversity conservation especially when roads are near natural habitats of wildlife, such as the Emas National Park (ENP), a Protected Area in Mid-west Brazil in the Cerrado Biome. We aimed to identify the species killed on a stretch of the GO-341 highway that is tangent to the ENP. We investigated if roadkills were influenced by seasonality, sugar cane harvest and by the activity pattern of the animals (diurnal/nocturnal). We also analyzed if roadkills were aggregated in space, where the roadkill hotspots were located, if they were influenced by seasonality, and if they were different for the most abundant species. The highway was monitored with a vehicle, in the morning, at a speed of 40 to 60 km/hour, daily, with two observers. We covered a total of 4,230 km during the 90-day monitoring period, which included dry and rainy seasons. We recorded 132 wild animals’ roadkills: 67 birds (51 %), 60 mammals (45 %) and 5 reptiles (4 %). We identified 22 vertebrate species, including 13 birds, six mammals and three reptiles. The roadkill rate was 0.03 animals/km/day. During the dry season, the blue-and-yellow macaw (Ara ararauna) had higher roadkill rates. The crab-eating fox (Cerdocyon thous) was the only species with higher roadkill rates during the sugarcane harvest. Most birds killed had diurnal habits, for mammals, no difference was observed concerning the activity pattern. Bird roadkills were aggregated considering the entire data set, as well as for the dry and rainy seasons separately. Mammal roadkills were aggregated only when considering the entire data set. The location of bird roadkill hotspots differed between seasons. The roadkill hotspot location of birds and mammals highly overlapped those observed for the two most abundant species of these taxa, respectively, Ara ararauna and Euphractus sexcinctus.

Downloads

Download data is not yet available.

References

Batalha, M. A., & Martins, F. R. 2004. Reproductive phenology of the cerrado plant community in Emas National Park (Central Brazil). Australian Journal of Botany, 52(2), 149–161. DOI: 10.1071/BT03098

Bérnils, R. S., & Costa, H. C. 2015. Répteis brasileiros: lista de espécies. Herpetologia Brasileira, 4(3), 75–93.

Bianchi, C. A. C. 1998. Biologia reprodutiva da arara canindé (Ara ararauna, Psittacidae) no Parque Nacional das Emas, GO. Universidade de Brasília. p. 75.

Brasil. Lei nº 12.727 de 17 de outubro de 2012.

Brum, T. R., Santos-Filho, M., Canale, G. R., Ignácio, A. R. A., Brum, T. R., Santos-Filho, M., Canale, G. R., & Ignácio, A. R. A. 2018. Effects of roads on the vertebrates diversity of the Indigenous Territory Paresi and its surrounding. Brazilian Journal of Biology, 78(1), 125–132. DOI: 10.1590/1519-6984.08116

Bueno, C., & Almeida, P. J. A. L. 2010. Sazonalidade de atropelamentos e os padrões de movimentos em mamíferos na BR-040 (Rio de Janeiro-Juiz de Fora). Revista Brasileira de Zoociências, 12(3), 219–226.

Caceres, N. C. 2011. Biological characteristics influence mammal road kill in an Atlantic Forest–Cerrado interface in south-western Brazil. Italian Journal of Zoology, 78(3), 379–389. DOI: 10.1080/11250003.2011.566226

Cáceres, N. C., Casella, J., & Goulart, C. S. 2012. Variação espacial e sazonal de atropelamentos e mamíferos no bioma cerrado, rodovia BR 262, Sudoeste do Brasil. Mastozoología Neotropical, 19(1), 21–33.

Carvalho-Roel, C. F., Alves, G. B., Jácomo, A. T. D. A., Moreira, R. A., Tôrres, N. M., & Silveira, L. 2019. Vehicles flow on GO-341 highway, tangent to the Emas National Park . Figshare, 1–3. DOI: 10.6084/m9.figshare.8984291.v1

Carvalho, C. F., Iannini Custodio, A. E., & Marçal Junior, O. 2015. Wild vertebrates roadkill aggregations on the BR-050 highway, state of Minas Gerais, Brazil. Bioscience Journal, 31(3), 951–959. DOI: 10.14393/BJ-v31n3a2015-27468

Coelho, A. V. P., Coelho, I. P., Teixeira, F. Z., & Kindel, A. 2014. Siriema: road mortality software. V. 2.0. Version 2.0. Porto Alegre, Brasil: NERF, UFRGS.

Coelho, I. P., Kindel, A., & Coelho, A. V. P. 2008. Roadkills of vertebrate species on two highways through the Atlantic Forest Biosphere Reserve, southern Brazil. European Journal of Wildlife Research, 54(4), 689–699. DOI: 10.1007/s10344-008-0197-4

Cunha, H. F. Da, Moreira, F. G. A., & Silva, S. D. S. 2010. Roadkill of wild vertebrates along the GO-060 road between Goiânia and Iporá, Goiás State, Brazil. Acta Scientiarum. Biological Sciences, 32(3), 257–263. DOI: 10.4025/actascibiolsci.v32i3.4752

D’Amico, M., Román, J., de los Reyes, L., & Revilla, E. 2015. Vertebrate road-kill patterns in Mediterranean habitats: Who, when and where. Biological Conservation, 191(November), 234–242. DOI: 10.1016/j.biocon.2015.06.010

Garriga, N., Franch, M., Santos, X., Montori, A., & Llorente, G. A. 2017. Seasonal variation in vertebrate traffic casualties and its implications for mitigation measures. Landscape and Urban Planning, 157, 36–44. DOI: 10.1016/j.landurbplan.2016.05.029

Giozza, T. P., Jácomo, A. T. D. A., Silveira, L., & Tôrres, N. M. 2017. Riqueza e abundância relativa de mamíferos de médio e grande porte na região do Parque Nacional das Emas-GO. Revista Brasileira de Zoociências, 18(3), 71–87.

Glista, D. J., DeVault, T. L., & DeWoody, J. A. 2009. A review of mitigation measures for reducing wildlife mortality on roadways. Landscape and Urban Planning, 91(1), 1–7. DOI: 10.1016/j.landurbplan.2008.11.001

Grilo, C., Bissonette, J. A., & Cramer, P. C. 2010. Mitigation measures to reduce impacts on biodiversity. In: S. R. Jones (Ed.), Highways: Construction, Management, and Maintenance. pp. 73–114. Nova Science Publishers, Inc.

Gunson, K. E., Mountrakis, G., & Quackenbush, L. J. 2011. Spatial wildlife-vehicle collision models: a review of current work and its application to transportation mitigation projects. Journal of Environmental Management, 92(4), 1074–82. DOI: 10.1016/j.jenvman.2010.11.027

Gwynne, J. a., Ridgely, R. S., Argel, M., & Tudor, G. 2010. Aves do Brasil. Pantanal & Cerrado. São Paulo: Editora Horizonte: p. 322.

IBAMA & CEBRAC. 2004. Plano de Manejo - Parque Nacional das Emas. IBAMA: p. 893.

Instituto Chico Mendes de Conservação da Biodiversidade - ICMBio. 2018. Brazil red book of threatened species of fauna. Brasília, Brazil: ICMBio: p. 4162.

IUCN. 2020. The IUCN Red List of Threatened Species. (Retrieved on from www.iucnredlist.org/).

Jacobson, S. L., Bliss-ketchum, L. L., Rivera, C. E. De, & Smith, W. P. 2016. A behavior-based framework for assessing barrier effects to wildlife from vehicle traffic volume. Ecosphere, 7(4), 1–15.

Kociolek, A., Grilo, C., & Jacobson, S. 2015. Flight doesn’t solve everything: mitigation of road impacts on birds. In: R. van der Ree, D. J. Smith, & C. Grilo (Eds.), Handbook of Road Ecology, First Edit, pp. 281–289. First Edit ed.John Wiley & Sons.

Laurance, W. F., Goosem, M., & Laurance, S. G. W. 2009. Impacts of roads and linear clearings on tropical forests. Trends in Ecology & Evolution, 24(12), 659–69. DOI: 10.1016/j.tree.2009.06.009

Lesbarrères, D., & Fahrig, L. 2012. Measures to reduce population fragmentation by roads: what has worked and how do we know? Trends in Ecology & Evolution, 27(7), 374–80. DOI: 10.1016/j.tree.2012.01.015

Lima, K. C. B. 2013. Impacto de estradas em unidades de conservação do Brasil. Federal University of Lavras. p. 94.

Magioli, M., Maria, K., Micchi, P., Ferraz, D. B., Zulnara, E., Setz, F., Percequillo, A. R., Viviane, M., Santos, D. S., Kuhnen, V. V., Cristina, M., Evelyn, K., Kanda, C. Z., Fregonezi, G. D. L., & Alves, H. 2016. Connectivity maintain mammal assemblages functional diversity within agricultural and fragmented landscapes. European Journal of Wildlife Research, 62(4), 431–446. DOI: 10.1007/s10344-016-1017-x

Miranda, H. 2017. Transporte fluvial de cargas e passageiros cresce no Amazonas. (Retrieved on November 7th, 2018, from https://www.marinha.mil.br/content/transporte-fluvial-de-cargas-e-passageiros-cresce-no-amazonas).

Miranda, J. E. S., Melo, F. R. de, & Umetsu, R. K. 2020. Are Roadkill Hotspots in the Cerrado Equal Among Groups of Vertebrates? Environmental Management, 65(4), 565–573. DOI: 10.1007/s00267-020-01263-y

Myers, N., Fonseca, G. A. B., Mittermeier, R. a, Fonseca, G. A. B., & Kent, J. 2000. Biodiversity hotspots for conservation priorities. Nature, 403(6772), 853–858. DOI: 10.1038/35002501

Neto, C. de M. S., Carneiro, V. A., Gonçalves, B. B., & Ribeiro, F. J. da C. 2015. Fauna Atropelada Nas Estradas Do Município De Chapadão Do Céu (Goiás, Brasil). Revista Percurso -NEMO Maringá, 7(1), 97–114. DOI: 10.4025/percurso.v7i1.24915

Paglia, A. P., Fonseca, G. A. B. da, Rylands, A. B., Herrmann, G., Aguiar, L. M. S., Chiarello, A. G., Leite, Y. L. R., Costa, L. P., Siciliano, S., Kierulff, M. C. M., Mendes, S. L., Mittermeier, R. A., & Patton, J. L. 2012. Annotated checklist of Brazilian mammals 2° Edição. Occasional Papers in Conservation Biology. Vol. 6p. 1–76.

Piacentini, V. de Q., Aleixo, A., Agne, C. E., Maurício, G. N., Pacheco, J. E., Bravo, G. A., Brito, G. R. R., Naka, L. N., Olmos, F., Posso, S., Silveira, L. F., Betini, G. S., Carraro, E., Franz, I., Less, A. C., Lima, L. M., Schunk, F., Amaral, F. R., Bencke, G. A., Cohn-Haft, M., Figueiredo, L. F. A., Straube, F. C., & Cesari, E. 2015. Annotated checklist of the birds of Brazil by the Brazilian Ornithological Records Committee / Lista comentada das aves do Brasil pelo Comitê Brasileiro de Registros Ornitológicos. Revista Brasileira de Ornitologia, 23(2), 91–298.

R Core Team. 2019. R: A language and environment for statistical computing. Vienna, Austria: R Foundation for Statistical Computing.

Reis, N. R., Peracchi, A. L., Fragonezi, M. N., & Rossaneis, B. K. 2010. Mamíferos do Brasil - Guia de Identificação. First Edition. Technical Books: p. 557.

Rodrigues, F. H. G., Silveira, L., Jácomo, A. T. A., Carmignotto, A. P., Bezerra, A. M. R., Coelho, D. C., Garbogini, H., Pagnozzi, J., & Hass, A. 2002. Composição e caracterização da fauna de mamíferos do Parque Nacional das Emas, Goias, Brasil. Revista Brasileira de Zoologia, 19(2), 589–600. DOI: 10.1590/S0101-81752002000200015

Rytwinski, T., & Fahrig, L. 2015. The Impacts of Roads and Traffic on Terrestrial Animal Populations. In: R. van der Ree, D. J. Smith, & C. Grilo (Eds.), Handbook of Road Ecology. pp. 237–246. John Wiley & Sons, Ltd.

Rytwinski, T., Soanes, K., Jaeger, J. A. G., Fahrig, L., Findlay, C. S., Houlahan, J., Van Ree, R. Der, & Van Der Grift, E. A. 2016. How effective is road mitigation at reducing road-kill? A meta-analysis. PLoS ONE, 1–25. DOI: 10.1371/journal.pone.0166941

Santos, R. A. L., Santos, S. M., Santos-Reis, M., Figueiredo, A. P., de Bager, A., Aguiar, L. M. S., & Ascensão, F. 2016. Carcass Persistence and Detectability: Reducing the Uncertainty Surrounding Wildlife-Vehicle Collision Surveys. PloS One, 11(11), 1–15. DOI: 10.1371/journal.pone.0165608

Santos, R. A. L., Ascensão, F., Ribeiro, M. L., Bager, A., Santos-Reis, M., & Aguiar, L. M. S. 2017. Assessing the consistency of hotspot and hot-moment patterns of wildlife road mortality over time. Perspectives in Ecology and Conservation, 15(1), 56–60. DOI: 10.1016/j.pecon.2017.03.003

Sawyer, D., Mesquita, B., Coutinho, B., Almeida, F. V. de, Figueiredo, I., Lamas, I., Pereira, L. E., Pinto, L. P., & Navega, R. 2016. Perfil do Ecossistema Hotspot de Biodiversidade do Cerrado.Critical Ecosystem Partnership Found: p. 495.

Sick, H. 1997. Ornitologia brasileira. Rio de Janeiro: Nova Fronteira: p. 912p.

Sigrist, T. 2014. Guia de Campo: Avifauna Brasileira. 4a ed. 4a ed. ed. São Paulo: Avis Brasilis: p. 600.

Silva, J. M. C. 1995. Birds of the Cerrado Region, South America. Steenstrupia, 21(March), 69–92.

Strassburg, B. B. N., Brooks, T., Feltran-Barbieri, R., Iribarrem, A., Crouzeilles, R., Loyola, R., Latawiec, A. E., Oliveira Filho, F. J. B., Scaramuzza, C. A. de M., Scarano, F. R., Soares-Filho, B., & Balmford, A. 2017. Moment of truth for the Cerrado hotspot. Nature Ecology & Evolution, 1(4), 1–3. DOI: 10.1038/s41559-017-0099

Teixeira, F. Z., Coelho, I. P., Esperandio, I. B., Oliveira, N. R., Porto, F., Dornelles, S. S., Delazeri, N. R., Tavares, M., Martins, M. B., & Kindel, A. 2013. Are road-kill hotspots coincident among different vertebrate groups? Oecologia Australis, 17(1), 36–47. DOI: 10.4257/oeco.2013.1701.04

Teixeira, F. Z., Coelho, A. V. P., Esperandio, I. B., & Kindel, A. 2013. Vertebrate road mortality estimates: Effects of sampling methods and carcass removal. Biological Conservation, 157, 317–323. DOI: 10.1016/j.biocon.2012.09.006

van der Ree, R., Smith, D. J., & Grilo, C. 2015. The Ecological Effects of Linear Infrastructure and Traffic: Challenges and Opportunities of Rapid Global Growth. In: R. van der Ree, D. J. Smith, & C. Grilo (Eds.), Handbook of Road Ecology. pp. 1–9. John Wiley & Sons, Ltd.

Veloso, A. C. 2015. Atropelamentos de vertebrados no trecho Uberlândia-Uberaba da rodovia BR 050, Minas Gerais. Universidade Federal de Uberlândia, Uberlândia, Brasil. p. 38.

Published

2021-12-15