MAMÍFEROS DE MÉDIO E GRANDE PORTE EM UNIDADE DE CONSERVAÇÃO NO CERRADO, MATO GROSSO DO SUL, BRASIL

Authors

  • Bruna Barbosa Secretaria Municipal de Desenvolvimento, Agricultura, Pecuária, Turismo e Meio Ambiente de Alcinópolis, MS.
  • Erciliomar Rocha Secretaria Municipal de Desenvolvimento, Agricultura, Pecuária, Turismo e Meio Ambiente de Alcinópolis, MS.
  • Maria dos Santos Secretaria Municipal de Desenvolvimento, Agricultura, Pecuária, Turismo e Meio Ambiente de Alcinópolis, MS.
  • Thiago Barbosa Secretaria Municipal de Desenvolvimento, Agricultura, Pecuária, Turismo e Meio Ambiente de Alcinópolis, MS.
  • Sandy Vieira Secretaria Municipal de Desenvolvimento, Agricultura, Pecuária, Turismo e Meio Ambiente de Alcinópolis, MS.
  • Izar Araújo Aximoff Instituto de Pesquisas do Jardim Botânico do Rio de Janeiro

DOI:

https://doi.org/10.4257/oeco.2021.2504.02

Keywords:

Camera trap, Cerrado, Protected Areas, Inventory

Abstract

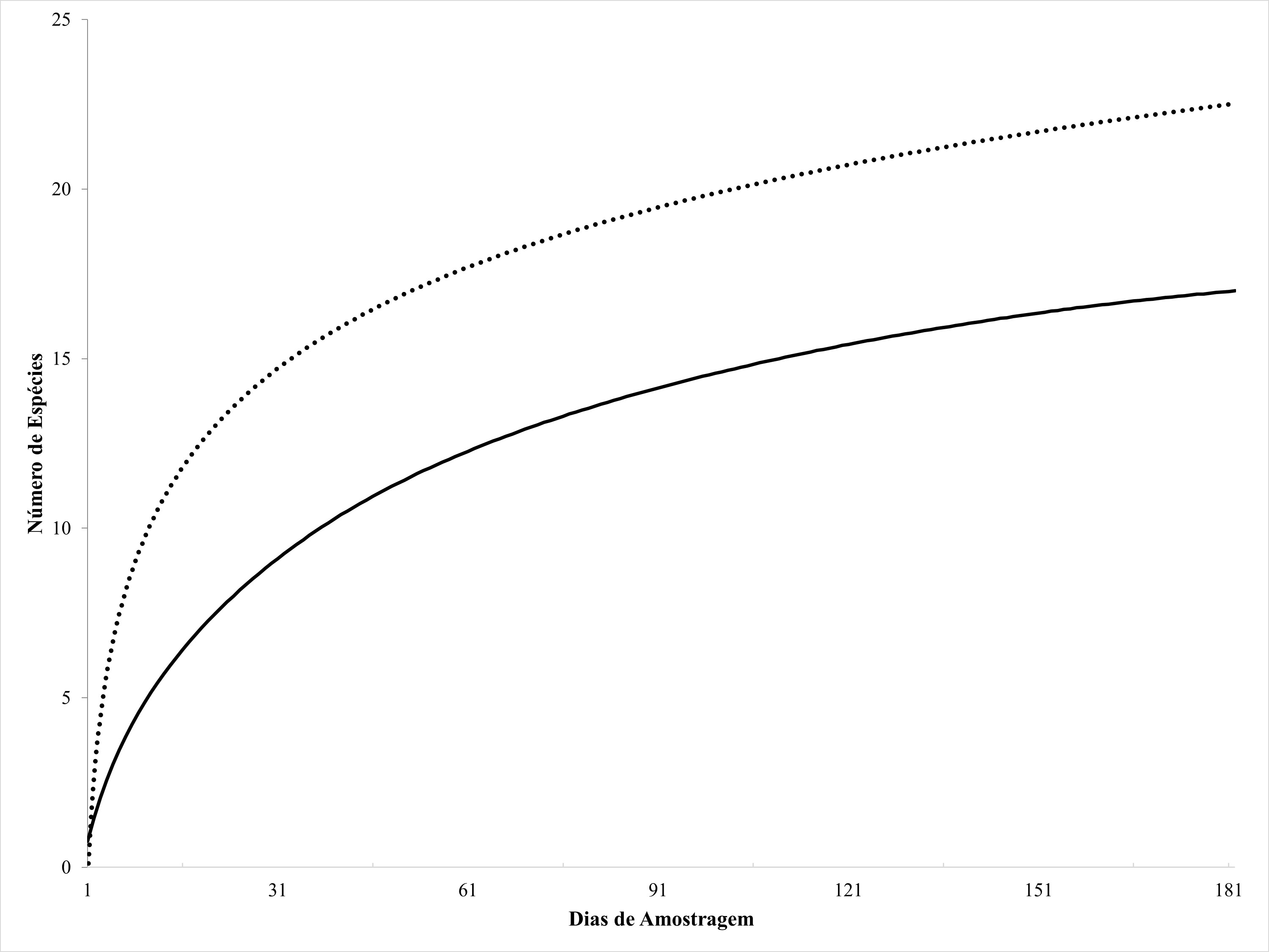
A perda e fragmentação de habitats constitui uma das maiores ameaças à fauna, principalmente aos mamíferos terrestres de médio e grande porte. Considerando as ameaças contínuas que os remanescentes de Cerrado sofrem, é essencial realizar inventários de mamíferos em áreas ainda pouco pesquisadas. Para avaliar a riqueza de espécies e a frequência relativa de mamíferos de médio e grande porte foram aplicados os métodos de visualização direta e registro por armadilhas fotográficas. O estudo foi realizado entre fevereiro e agosto de 2020, no Monumento Natural Municipal Serra do Bom Jardim, em Alcinópolis, Mato Grosso do Sul – MS. A partir de um esforço amostral 840 armadilhas-noite e 224 horas de buscas direta, foram registradas 27 espécies de mamíferos nativos, equivalente a 57.4 % das espécies desse grupo presentes no MS. A curva de acumulação de espécies associada com a riqueza estimada (Jackknife-1) indica que a continuidade da amostragem deve adicionar novas espécies. Duas espécies foram responsáveis por mais de 60 % dos registros fotográficos (Tapirus terrestres e Cerdocyon thous). Nosso inventário adicionou três novas ocorrências ao plano de manejo da UC (Didelphis albiventris, Leopardus tigrinus, e Coendou prehensilis). O registro de ocorrência de L. tigrinus por armadilha fotográfica é o primeiro para o estado de MS. Esse é o único carnívoro com ocorrência no Brasil que está ameaçado globalmente. Obtivemos registros de mais de 50 % das espécies ameaçadas de extinção presentes no MS, sem considerar L. tigrinus. Duas delas por exemplo, Ozotoceros bezoarticus e Priodontes maximus, estão entre as espécies mais raras em território sul mato-grossense. Nossos registros contribuem para a execução de medidas de conservação dos mamíferos na UC estudada, que desempenha um papel fundamental para a proteção do corredor Cerrado-Pantanal.

MEDIUM AND LARGE SIZED MAMMALS IN PROTECTED AREA AT CERRADO, MATO GROSSO DO SUL, BRAZIL: Habitat loss is one of the greatest threats to fauna, especially for medium to large-sized terrestrial mammals. Considering the continuous threats on Cerrado remnants, it is essential to carry out mammal inventories in areas with low information available. In order to evaluate the species richness and the relative frequency of medium and large mammals, we investigated the area with direct observations and using camera traps. The study was conducted from February to August 2020, in the Serra do Bom Jardim Municipal Natural Monument, in Alcinópolis, Mato Grosso do Sul State (MS). From a sampling effort of 840 trap-nights and 224 hours of direct observations, a total of 27 species of native mammals were registered, representing 57.4 % of medium and large species that occur MS. Species accumulation curve associated with estimated richness (Jackknife-1) indicates that continued sampling would add new species. Two species were responsible for more than 60 % of the photographic records (Tapirus terrestre and Cerdocyon thous). Our survey added three new occurrences to the protected area management plan (Didelphis albiventris, Leopardus tigrinus, and Coendou prehensilis). The occurrence of L. tigrinus is the first record for the state of MS. This is the only globally threatened carnivore in Brazil. We recorded more than 50 % of the endangered species present in MS, besides L. tigrinus. Two of endangered species, Ozotoceros bezoarticus and Priodontes maximus, are among the rarest species in MS. Our study contributes to conservation measures proposed by municipal protected area, which plays a fundamental role for wildlife conservation in the Cerrado-Pantanal corridor.


Downloads

Download data is not yet available.

References

Aximoff, I., Cronemberger, C., & Pereira, F. A. 2015. Amostragem de longa duração por armadilhas fotográficas dos mamíferos terrestres em dois parques nacionais no estado do Rio de Janeiro. Oecologia Australis, 19(1), 215–231. DOI: 10.4257/oeco.2015.1901.14

Aya-Cuero C., Rodrígues-Bolaños A., & Superina, M. 2017. Population density, activity patterns, and ecological importance of giant armadillos (Priodontes maximus) in Colombia. Journal of Mammology, 98, 770–778. DOI: 10.1093/jmammal/gyx006

Bianchi, R. D. C., Mendes, S. L., & Júnior, P. D. M. 2010. Food habits of the ocelot, Leopardus pardalis, in two areas in southeast Brazil. Studies on Neotropical Fauna and Environment, 45(3), 111–119. DOI: 10.1080/01650521.2010.514791

Cáceres, N. C., Bornschein, M. R., Lopes, W. H., & Percequillo, A. R. 2007. Mammals of the Bodoquena Mountains, southwestern Brazil: an ecological and conservation analysis. Revista Brasileira de Zoologia, 24(2), 426–435. DOI: 10.1590/S0101-81752007000200021

Chiarello, A. G. 2000. Density and population size of mammals in remnants of Brazilian Atlantic Forest. Conservation Biology, 14 (6), 1649–1657. DOI: 10.1111/j.1523-1739.2000.99071.x

Desbiez, A. L. J., & Kluyber, D. 2013. The role of giant armadillos (Priodontes maximus) as physical ecosystem engineers. Biotropica, 45, 537–540. DOI: 10.1111/btp.12052

FIBRAcon Consultoria Pericias e Projetos Ambientais. 2008. Plano de Manejo do Monumento Natural Municipal da Serra do Bom Jardim, Alcinópolis, MS. p. 375.

FIBRAcon Consultoria Pericias e Projetos Ambientais. 2017. Encarte II. Revisão do Plano de Manejo do Monumento Natural da Serra do Bom Jardim, Alcinópolis, MS. p. 186.

Françoso, R. D., Brandão, R., Nogueira, C. C., Salmona, Y. B., Machado, R. B., & Colli, G. R. 2015. Habitat loss and the effectiveness of protected areas in the Cerrado Biodiversity Hotspot. Na¬tureza & Conservação, 13(1), 35–40. DOI: 10.1016/j.ncon.2015.04.001

Giombini, M. I., Bravo, S. P., & Tosto, D. S. 2016. The key role of the largest extant Neotropical frugivore (Tapirus terrestris) in promoting admixture of plant genotypes across the landscape. Biotropica, 48(4): 499–508. DOI: 10.1111/btp.12328

Giozza, T. P., de Almeida Jácomo, A. T., Silveira, L., & Tôrres, N. M. 2017. Abundância relativa de mamíferos de médio e grande porte na região do Parque Nacional das Emas-GO. Revista Brasileira de Zoociências, 18(3), 71–87. DOI: 10.34019/2596-3325.2017.V18.24671

Gutiérrez, E. E., & Marinho-Filho, J. S. 2017. The mammalian faunas endemic to the Cerrado and Caatinga. ZooKeys, 644, 105–157. DOI: 10.3897/zookeys.644.10827

Hannibal, W., & Neves-Godoi, M. 2015. Non-volant mammals of the Maracaju Mountains, southwestern Brazil: Composition, richness and conservation. Revista Mexicana de Biodiversidad, 86, 217–25. DOI: 10.7550/rmb.48618

Hannibal, W., Figueiredo, V. V., Claro, H. W. P., Carvalho, A. C., Cabral, G. P., Oliveira, R. F., Aquino, H. F., Viana, F. V., Silveiro, T. F., & Filho, J. J. F. 2015. Mamíferos não-voadores em fragmentos de Cerrado no Sul do estado de Goiás, Brasil. Boletim da Sociedade Brasileira de Mastozoologia, 74, 103–109.

Hannibal, W., Leme Da Cunha, N., Dalponti, G., Oliveira, S. R., & Pereira, K. R. 2018. Roadkill and new records for giant armadillo (Priodontes maximus) in central-western Brazil. Mastozoología Neotropical; 25(1), 229–234. DOI: 10.31687/saremMN.18.25.1.0.19

Hoffmann, M., Hilton-Taylor, C., Angulo, A., Böhm, M., Brooks, T. M., Butchart, S. H. ... & Stuart, S. N. 2010. The impact of conservation on the status of the world’s vertebrates. Science, New York, 330(6010), 1503–1509. DOI: 10.1126/science.1194442

Hübel, M., Aximoff, I., Freitas, A. C., & Rosa C. 2020. Mamíferos de médio e grande porte na Área de Proteção Ambiental Municipal do Rio Vermelho em Santa Catarina, sul do Brasil. Oecologia Australis. Ahead of print. (https://revistas.ufrj.br/index.php/oa/issue/view/1109/showToc)

ICMBio. 2018. Livro Vermelho da Fauna Brasileira Ameaçada de Extinção: Volume II – Mamíferos. Brasília: ICMBio/MMA. p. 622

INPE 2020. Nota Técnica: A área de vegetação nativa suprimida do Bioma Cerrado no ano de 2020 foi de 7.340 km². Retrieved from http://www.inpe.br/noticias/noticia.php?Cod_Noticia=5643

IUCN. 2018. The IUCN Red List of Threatened Species. Version 2018-2. Retrieved from http://www.iucnredlist.org.

Jorge, M. L. S., Galetti, M., Ribeiro, M. C., & Ferraz, K. M. P. 2013. Mammal defaunation as surrogate of trophic cascades in a biodiversity hotspot. Biological Conservation, 163, 49–57. DOI: 10.1016/j.biocon.2013.04.018

Klink, C. A., & Machado, R. B. 2005. A conservação do Cerrado brasileiro. Megadiversidade, 1, 147–155.

MapBiomas. 2019. Relatório Anual de Desmatamento – São Paulo. Retrieved from https://s3.amazonaws.com/alerta.mapbiomas.org/relatrios/MBI-relatorio-desmatamento-2019-FINAL5.pdf

Marinho, P. H., Bezerra, D., Antongiovanni, M., Fonseca, C. R., & Venticinque E. M. 2017. Estimating occupancy of the Vulnerable northern tiger cat Leopardus tigrinus in Caatinga drylands. Mammalian Research, 63(1), 33–42. DOI: 10.1007/s13364-017-0330-4

Mittermeier, R. A, da Fonseca, G. A. B., Rylands, A. B., & Brandon, K. 2005 A brief history of biodiversity conservation in Brazil. Conservation Biology, 19, 601–607. DOI: 10.1111/j.1523-1739.2005.00709.x

NASA 2018. Converting savannahs into soybeans. Retrieved from https://earthobservatory.nasa.gov/images/92717/converting-savannahs-into-soybeans

Nascimento, F. O. D. 2010. Revisão taxonômica do gênero Leopardus Gray, 1842 (Carnivora, Felidae). Doctoral thesis. Instituto de Biociências da Universidade de São Paulo. p. 357. DOI: 10.11606/T.41.2010.tde-09122010-104050

Oliveira, R. F., & Hannibal, W. 2017. Effects of patch attributes on the richness of medium-and large-sized mammals in fragmented semi-deciduous forest. Mastozoologia Neotropical, 24, 401–408.

Oliveira, R. F., de Morais, A. R., & Terribile, L. C. 2019. Effects of landscape and patch attributes on the functional diversity of medium and large-sized mammals in the Brazilian Cerrado. Mammal Research, 65, 301–308. DOI: 10.1007/s13364-019-00471-0

Oliveira, T. G., Lima, B. C., Fox-Rosales, L., Pereira, R. S., Pontes-Araújo, E., & de Sousa, A. L. 2020. A refined population and conservation assessment of the elusive and endangered northern tiger cat (Leopardus tigrinus) in its key worldwide conservation area in Brazil. Global Ecology and Conservation, 22, e00927. DOI: 10.1016/j.gecco.2020.e00927

Paglia, A. P., Fonseca, G. A. B., Rylands, A. B., Hermann, G., Aguiar, L. M. S., Chiarello, A. G., Leite, Y. L. R., Costa, L. P., Siciliano, S., Kierulff, M. C. M., Mendes, S. L., Tavares, V. C., Mittermeier, R. A., & Patton, J. L. 2012. Annotated checklist of Brazilian mammals. Occasional Papers in Conservation Biology, 6, 1–76. DOI: 10.1646/0006-3606(2000)032[0793: POFDAA]2.0.CO,2

Parry, L., & Peres, C. 2015. Evaluating the use of local ecological knowledge to monitor hunted tropical-forest wildlife over large spatial scales. Ecology and Society, 20(3), 15. DOI: 10.5751/ES-07601-200315

Payan, E., & de Oliveira, T. 2016. Leopardus tigrinus. The IUCN Red List of Threatened Species 2016. DOI: 10.2305/IUCN.UK. 2016-2.RLTS.T54012637A50653881.en.

Rocha, E. C., Brito, D., Silva, J., Bernardo, P. V. D. S., & Juen, L. 2018. Effects of habitat fragmentation on the persistence of medium and large mammal species in the Brazilian Savanna of Goiás State. Biota Neotropica, 18(3), e20170483. DOI: 10.1590/1676-0611-bn-2017-0483

Rodrigues, F. H. G., Medri, I. M., Tomas, W. M., & Mourão, G. D. M. 2002. Revisão do conhecimento sobre ocorrência e distribuição de mamíferos do Pantanal. Embrapa Pantanal. p. 41.

Sano, E. E., Rosa, R., Brito, J. L., & Ferreira, L. G. 2010. Mapeamento do uso do solo e cobertura vegetal – Bioma Cerrado: ano base 2002. Brasília: Ministério do Meio Ambiente. p. 96.

Srbek-Araujo, A. C., & Chiarello, A. G. 2013. Influence of camera-trap sampling design on mammal species capture rates and community structures in southeastern Brazil. Biota Neotropica, 13(2), 51–62. DOI: 10.1590/S1676-06032013000200005

Strassburg, B. B. N., Brooks, T., Feltran-Barbieri, R., Iribarem, A., Crouzeilles, R., Loyola, R., Latawiec, A., Oliveira, F., Scaramuzza, C. A. M., Scarano, F. R., Soares-Filho, B., & Balmford, A., 2017. Moment of truth for the Cerrado hotspot. Nature Ecology & Evolution, 1, 0099. DOI: 10.1038/s41559-017-0099

Tomás, W. M., Antunes, P. C., Bordignon, M. O., Camilo, A. R., Campos, Z., Camargo, G., ... & Hannibal, W. 2017. Checklist of mammals from Mato Grosso do Sul, Brazil. Iheringia Série Zoologia, 107, e2017155. DOI: 10.1590/1678-4766e2017155

Torrecilha, S., Roque, F. O., Gonçalves, R., & Maranhão, H. L. 2017. Registros de espécies de mamíferos e aves ameaçadas em Mato Grosso do Sul com ênfase no Sistema Estadual de Unidades de Conservação. Iheringia Série Zoologia, 107, e2017156. DOI: 10.1590/1678-4766e2017156

Torrecilha, S., Ochoa-Quintero, J. M., Laps, R. R., & Ribeiro, D. B. 2018. Records of threatened bird and mammal species in Mato Grosso do Sul State, Brazil. Data in Brief, 17, 1326–1330. DOI: 10.1016/j.dib.2018.02.052

Torrencilha, S., & Carrijo 2019. Plano de Manejo do Parque Estadual Nascentes do Rio Taquari. Instituto de Meio Ambiente do Mato Grosso do Sul. p. 175.

Trigo, T. C., Oliveira, T. G., Tortato, M. A., Almeida L. B., Campos C. B., & Beisiegel B. M. 2018. Leopardus tigrinus (schreber, 1775). In Livro Vermelho da Fauna Brasileira Ameaçada de Extinção: Mamíferos, vol. II. pp. 344–348. Brasília: ICMBio/MMA.

Published

2021-12-15