LONG-TERM CHANGES IN SANITARY CONDITIONS AND ZOOPLANKTON COMMUNITY IN THE IMBOASSICA LAGOON (RIO DE JANEIRO, BRAZIL): EFFECTS OF SANDBAR OPENINGS

Authors

  • Claudio Cardoso Marinhoo Laboratório de Limnologia, Departamento de Ecologia, Instituto de Biologia, UFRJ, Ilha do Fundão, CCS, Bl. A, CEP 21941-902, Rio de Janeiro, RJ, Brasil. http://orcid.org/0000-0003-0175-7227
  • André Breves Museu da Ciência, Universidade de Coimbra, Largo Marquês de Pombal, 3000-272, Coimbra, Portugal
  • Adriana de Melo Rocha Laboratório de Limnologia, Departamento de Ecologia, Instituto de Biologia, UFRJ, Ilha do Fundão, CCS, Bl. A, CEP 21941-902, Rio de Janeiro, RJ, Brasil.
  • Eliane Cristina da Silva Laboratório de Biogeoquímica, Departamento de Ecologia, Instituto de Biologia, Universidade Federal do Rio de Janeiro (UFRJ), Ilha do Fundão, CCS, Interblocos, CEP 21941-971, Rio de Janeiro, RJ, Brasil.
  • Margaretha Denise Maria van Weerelt Laboratório de Microbiologia Marinha, Departamento de Biologia Marinha, Instituto de Biologia, UFRJ, Ilha do Fundão, CCS, Bl. A, CEP 21941-902, Rio de Janeiro, RJ, Brasil.
  • Ana Cláudia Bliggs Gutemberg Universidade Federal Fluminense, Departamento de Geografia, Programa de Pós-Graduação em Geografia, Laboratório de Geografia Física, Av. Gal. Milton Tavares de Souza, s/n°, CEP: 24210-346, Niterói, RJ, Brasil
  • Leonardo Amora-Nogueira Universidade Federal Fluminense, Departamento de Geografia, Programa de Pós-Graduação em Geografia, Laboratório de Geografia Física, Av. Gal. Milton Tavares de Souza, s/n°, CEP: 24210-346, Niterói, RJ, Brasil 7Universidade Federal Fluminense, Centro de Gerenciamento de Água e Biomassa, Programa de Pós-Graduação em Geociências (Geoquímica Ambiental), Laboratório de Ecossistemas e Mudanças Globais/ Rede Brasileira de Pesquisa em Acidificação dos Oceanos (BrOA), Av. Edmundo March, s/n°, CEP: 24210-310, Niterói, RJ, Brasil.
  • Humberto Marotta Universidade Federal Fluminense, Departamento de Geografia, Programa de Pós-Graduação em Geografia, Laboratório de Geografia Física, Av. Gal. Milton Tavares de Souza, s/n°, CEP: 24210-346, Niterói, RJ, Brasil 7Universidade Federal Fluminense, Centro de Gerenciamento de Água e Biomassa, Programa de Pós-Graduação em Geociências (Geoquímica Ambiental), Laboratório de Ecossistemas e Mudanças Globais/ Rede Brasileira de Pesquisa em Acidificação dos Oceanos (BrOA), Av. Edmundo March, s/n°, CEP: 24210-310, Niterói, RJ, Brasil.
  • Frederico Meirelles-Pereira Laboratório de Limnologia, Departamento de Ecologia, Instituto de Biologia, UFRJ, Ilha do Fundão, CCS, Bl. A, CEP 21941-902, Rio de Janeiro, RJ, Brasil.
  • Alex Enrich-Prast Department of Thematic Studies—Environmental Change, Linköping University, 58183, Linköping, Suécia
  • Francisco de Assis Esteves Instituto de Biodiversidade e Sustentabilidade, Universidade Federal do Rio de Janeiro, Av. São José Barreto, 764, São José do Barreto, Macaé, RJ, Brasil, CEP 27965-045.

Keywords:

Ecological indicators, Eutrophication, Faecal coliforms, Sandbar opening events, Tropical Coastal Lagoon.

Abstract

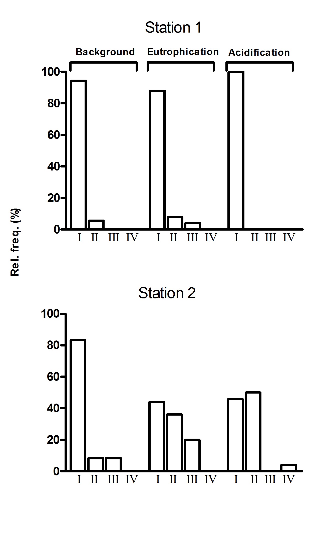
The present study investigated the intra-ecosystem variability of nutrient enrichment (nitrogen -N- and phosphorus -P-), density of faecal coliforms (i.e., as a proxy of sanitary conditions), and ecological responses of the zooplankton community structure in a tropical urban coastal lagoon, following eutrophication, changes in rainfall, and episodic sandbar openings. Surface waters were monthly taken over 14 years (1992-2005) within the long-term monitoring program ECOlagoas from two sampling stations at the Imboassica lagoon (Northern of the Rio de Janeiro State, Brazil): near a domestic wastewater channel (SEWAGE station), and at the limit to the sea (SANDBAR station). Changes in faecal coliforms and nutrient concentration reduced water quality due to untreated sewage inputs, which was intensified by artificial sandbar openings mainly under low rainfall, such as observed in February 2001. Indeed, a greater depth and subsequent volume of water of the Imboassica lagoon during the acidification period (i.e., attributed to the increased rainfall, and lower frequency of sandbar openings) contributed to dilute the faecal coliform only in the SANDBAR station. In turn, the zooplankton community structure showed that episodic sandbar openings promoted the loss of their functional features derived from a reduction and replacement of species over time, even in the period of lower frequency of sandbar opening and dilution of nutrient concentrations. Our findings indicate that sandbar openings are not the best management practice when facing coastal eutrophication, once it may cause harmful effects on sanitary conditions and ecological community related to zooplankton, mainly in periods of decline in rainfall.

Downloads

Download data is not yet available.

Author Biography

Claudio Cardoso Marinhoo, Laboratório de Limnologia, Departamento de Ecologia, Instituto de Biologia, UFRJ, Ilha do Fundão, CCS, Bl. A, CEP 21941-902, Rio de Janeiro, RJ, Brasil.

Engenheiro Químico pela UERJ, Msc e Dr IBCCF/UFRJ

Trabalha no Laboratório de Limnoologia - UFRJ

References

Anthony, A., Atwood, J., August, P., Byron, C., Cobb, S., Foster, C., Fry, C., Gold, A., Hagos, K., Heffner, L., Kellogg, D. Q., Lellis-Dibble, K., Opaluch, J. J., Oviatt, C., Pfeiffer-Herbert, A., Rohr, N., Smith, L., Smythe, T., Swift, J., & Vinhateiro, N. 2009. Coastal lagoons and climate change: Ecological and social ramifications in U.S. Atlantic and Gulf coast ecosystems. Ecology and Society, 14 (1). DOI: 10.5751/ES-02719-140108

Attayde, J.L. & Bozelli, R.L. 1998. Assessing the indicator properties of zooplankton assemblages to disturbance gradients by canonical correspondence analysis. Canadian Journal of Fisheries and Aquatic Sciences, 55, 1789–1797. DOI: 10.1139/f98-033

Barnes, R. S. K. 1980. Coastal lagoons: the natural history of a neglected habitat. Coastal Lagoons: The Natural History of a Neglected Habitat.

Berry, D. A. 1987. Logarithmic transformations in ANOVA. Biometrics, 439–456. DOI: 10.2307/2531826

Bettencourt, F., Almeida, C., Santos, M. I., Pedroso, L., & Soares, F. 2013. Microbiological monitoring of Ruditapes decussatus from Ria Formosa Lagoon (South of Portugal). Journal of Coastal Conservation, 17(3), 653–661. DOI: 10.1007/s11852-013-0264-1

Bozelli, R. L., Caliman, A., Guariento, R. D., Carneiro, L. S., Santangelo, J. M., Figueiredo-Barros, M. P., Leal, J. J. F., Rocha, A. M., Quesado, L. B., Lopes, P. M., Farjalla, V. F., Marinho, C. C., Roland, F., & Esteves, F. A. 2009. Interactive effects of environmental variability and human impacts on the long-term dynamics of an Amazonian floodplain lake and a South Atlantic coastal lagoon. Limnologica, 39(4), 306–313. DOI: 10.1016/j.limno.2009.06.004

Branco, C. W. C., Attayde, J. L., & Kozlowsky-Suzuki, B. 1998. Zooplankton community of a coastal lagoon subjected to anthropogenic influences (Lagoa Imboacica, Macaé, R. J. Brazil). SIL Proceedings, 1922-2010, 26(3), 1426–1429. DOI: 10.1080/03680770.1995.11900959

Branco, C. W. C., Kozlowsky-Suzuki, B., & Esteves, F. A. 2007. Environmental changes and zooplankton temporal and spatial variation in a disturbed brazilian coastal lagoon. Brazilian Journal of Biology, 67(2), 251–262. DOI: 10.1590/s1519-69842007000200010

Cezar, M., Machado, L. R., Lopes, M., Moraes, D., & P, F. D. A. 2015. Manejo de lagoas costeiras – estabelecendo normas e procedimentos para abertura artificial da barra de areia em uma lagoa do Parque Nacional da Restinga de Jurubatiba (PARNA Jurubatiba), 18–25.

Costanzo, S. D., Udy, J., Longstaff, B., & Jones, A. 2005. Using nitrogen stable isotope ratios (δ15N) of macroalgae to determine the effectiveness of sewage upgrades: changes in the extent of sewage plumes over four years in Moreton Bay, Australia. Marine Pollution Bulletin, 51(1–4), 212–217. DOI: 10.1016/j.marpolbul.2004.10.018

Crippa, L. B., Stenert, C., & Maltchik, L. 2013. Does the management of sandbar openings influence the macroinvertebrate communities in southern Brazil wetlands? A case study at Lagoa do Peixe National Park - Ramsar site. Ocean and Coastal Management, 71, 26–32. DOI: 10.1016/j.ocecoaman.2012.10.009

De-Carli, B. P., De Albuquerque, F. P., Moschini-Carlos, V., & Pompêo, M. 2018. Zooplankton community and their relationship with water quality in São Paulo State reservoirs. Iheringia - Serie Zoologia, 108. DOI: 10.1590/1678-4766e2018013

Diaz, R. J., & Rosenberg, R. 2008. Spreading Dead Zones and Consequences for Marine Ecosystems. Science, 321(5891), 926–929. DOI: 10.1126/science.1156401

Esteves, F. A., Caliman, A., Santangelo, J. M., Guariento, R. D., Farjalla, V. F., & Bozelli, R. L. 2008. Neotropical coastal lagoons: An appraisal of their biodiversity, functioning, threats and conservation management. Brazilian Journal of Biology, 68(4 SUPPL.), 967–981. DOI: 10.1590/S1519-69842008000500006

Esteves, F. D. A. 1998. Fundamentos de Limnologia. Interface. 2 ed. Rio de Janeiro: p. 226.

Fauzi, A., Skidmore, A. K., Heitkönig, I. M. A., van Gils, H., & Schlerf, M. 2014. Eutrophication of mangroves linked to depletion of foliar and soil base cations. Environmental Monitoring and Assessment, 186(12), 8487–8498. DOI: 10.1007/s10661-014-4017-x

Fernandes, H. M., Bidone, E. D., Veiga, L. H. S., & Patchineelam, S. R. 1994. Heavy-metal pollution assessment in the coastal lagoons of Jacarepaguá, Rio de Janeiro, Brazil. Environmental Pollution, 85(3), 259–264. DOI: 10.1016/0269-7491(94)90046-9

Fernandes, V. O., & Esteves, F. A. 2003. The use of indices for evaluating the periphytic community in two kinds of substrate in Imboassica Lagoon, Rio de Janeiro, Brazil. Brazilian Journal of Biology = Revista Brasleira de Biologia, 63(2), 233–243. DOI: 10.1590/S1519-69842003000200008

Ferreira, N. C., & Freire, A. S. 2009. Spatio-temporal variation of the pink shrimp Farfantepenaeus paulensis (Crustacea, Decapoda, Penaeidae) associated to the seasonal overture of the sandbar in a subtropical lagoon. Iheringia - Serie Zoologia, 99(4), 390–396. DOI: 10.1590/s0073-47212009000400008

Fonseca, A., dos Santos, M., Correa, M., & Amorim, M. 2019. Greenhouse gas emission from a eutrophic coastal lagoon in Rio de Janeiro, Brazil. Latin American Journal of Aquatic Research, 47(4), 638–653. DOI: 10.3856/vol47-issue4-fulltext-6

García-Ayllón, S. 2017. Integrated management in coastal lagoons of highly complexity environments: Resilience comparative analysis for three case-studies. Ocean and Coastal Management, 143, 16–25. DOI: 10.1016/j.ocecoaman.2016.10.007

García, G., & Muñoz-Vera, A. 2015. Characterization and evolution of the sediments of a Mediterranean coastal lagoon located next to a former mining area. Marine Pollution Bulletin, 100(1), 249–263. DOI: 10.1016/j.marpolbul.2015.08.042

Golterman, H. L., Clymo, R. S., & Ohmstad, M. A. M. 1978. Methods for physical and chemical analysis of freshwaters. p. 213.

Gonzalez, A. M., Paranhos, R., & Lutterbach, M. S. 2010. Relationships between faecal indicators and pathogenic microorganisms in a tropical lagoon in Rio de Janeiro, Brazil. Environmental Monitoring and Assessment, 164(1–4), 207–219. DOI: 10.1007/s10661-009-0886-9

Hadjianghelou, A. 1996. The effect of dilution on the survival of faecal coliforms in natural waters. Environmentalist, 16(4), 313–318. DOI: 10.1007/BF02239658

IBGE. 2015. Malha Municipal Digital do Brasil. Instituto Brasileiro de Geografia e Estatística. Available at: https://www.ibge.gov.br/geociencias/organizacao-do-territorio/malhas-territoriais/2227-np-malhas/15774-malhas.html?edicao=24048&t=acesso-ao-produto. Accessed at July 27, 2021.

Knoppers, B. 1994. Aquatic Primary Production in Coastal Lagoons. In: Kjerfe, B. (Ed.). Coastal lagoon processes. pp. 243–286. Elsevier Oceanography Series.

Kozlowsky-Suzuki, B., & Bozelli, R. L. 2004. Resilience of a zooplankton community subjected to marine intrusion in a tropical coastal lagoon. Hydrobiologia, 522(1–3), 165–177. DOI: 10.1023/B:HYDR.0000029970.81767.e5

Kümmerer, K., Al-Ahmad, A., & Mersch-Sundermann, V. 2000. Biodegradability of some antibiotics, elimination of the genotoxicity and affection of wastewater bacteria in a simple test. Chemosphere, 40(7), 701–710. DOI: 10.1016/S0045-6535(99)00439-7

Kümmerer, K., Alexy, R., Hüttig, J., & Schöll, A. 2004. Standardized tests fail to assess the effects of antibiotics on environmental bacteria. Water Research, 38(8), 2111–2116. DOI: 10.1016/j.watres.2004.02.004

Lanés, L. E. K. K., Rolon, A. S., Stenert, C., & Maltchik, L. 2015. Effects of an artificial and annual opening of a natural sandbar on the fish community in a coastal lagoon system: a case study in Lagoa do Peixe floodplains, southern Brazil. Journal of Applied Ichthyology, 31(2), 321–327. DOI: 10.1111/jai.12687

Laque, T., Farjalla, V. F., Rosado, A. S., & Esteves, F. A. 2010. Spatiotemporal variation of bacterial community composition and possible controlling factors in tropical shallow lagoons. Microbial Ecology, 59(4), 819–829. DOI: 10.1007/s00248-010-9642-5

Lopes, A. F., & Bozelli, R. L. 2014. The ethnoecological knowledge of fishermen from three coastal lagoons in the northern of the State of Rio de Janeiro, Brazil. Biota Neotropica, 14(4). DOI: 10.1590/1676-06032014003814

López-Herrera, D. L., de la Cruz-Agüero, G., Aguilar-Medrano, R., Navia, A. F., Peterson, M. S., Franco-López, J., & Cruz-Escalona, V. H. 2021. Ichthyofauna as a Regionalization Instrument of the Coastal Lagoons of the Gulf of Mexico. Estuaries and Coasts. DOI: 10.1007/s12237-021-00902-9

Lutterbach, M. T. S., Vazquez, J. C., Pinet, J. A., Andreata, J. V., & Suva, A. C. Da. 2001. Monitoring and spatial distribution of heterotrophic bacteria and faecal coliforms in the Rodrigo de Freitas Lagoon, Rio de Janeiro, Brazil. Brazilian Archives of Biology and Technology, 44(1), 7–13. DOI: 10.1590/s1516-89132001000100002

MacCord, F., Azevedo, F. D. A., Esteves, F. de A., & Farjalla, V. F. 2013. Regulation of bacterioplankton density and biomass in tropical shallow coastal lagoons. Acta Limnologica Brasiliensia, 25(3), 224–234. DOI: 10.1590/s2179-975x2013000300003

Mackereth, F. J. H., Heron, J., & Talling, J. F. 1979. Water Analysis: Some Revised Methods for Limnologists. Ambleside : Freshwater Biological Association, 36, 120.

Mallin, M. A., Ensign, S. H., McIver, M. R., Shank, G. C., & Fowler, P. K. 2001. Demographic, landscape, and meteorological factors controlling the microbial pollution of coastal waters. The Ecology and Etiology of Newly Emerging Marine Diseases, 185–193. DOI: 10.1007/978-94-017-3284-0_17

Marotta, H., Bento, L., De Esteves, F. A., & Enrich-Prast, A. 2009. Whole ecosystem evidence of eutrophication enhancement by wetland dredging in a shallow Tropical Lake. Estuaries and Coasts, 32(4), 654–660. DOI: 10.1007/s12237-009-9152-1

Marotta, H., Duarte, C. M., Meirelles-Pereira, F., Bento, L., Esteves, F. A., & Enrich-Prast, A. 2010a. Long-term CO2 variability in two shallow tropical lakes experiencing episodic eutrophication and acidification events. Ecosystems, 13(3), 382–392. DOI: 10.1007/s10021-010-9325-6

Marotta, H., Duarte, C. M., Pinho, L., & Enrich-Prast, A. 2010b. Rainfall leads to increased pCO2 in Brazilian coastal lakes. Biogeosciences, 7(5), 1607–1614. DOI: 10.5194/bg-7-1607-2010

Marotta, H., Duarte, C. M.; Guimaraes-Souza, B. A. & Enrich-Prast, A. 2012. Synergistic control of CO2 emissions by fish and nutrients in a humic tropical lake. Oecologia, 168 (3), 839-847. DOI: 10.1007/s00442-011-2131-9

Meirelles-Pereira, F., Santos Pereira, A. D. M., Gomes Da Silva, M. C., Gonçalves, V. D., Brum, P. R., Ribeiro De Castro, E. A., Pereira, A. A., De Assis Esteves, F., & Adler Pereira, J. A. 2002. Ecological aspects of the antimicrobial resistance in bacteria of importance to human infections. Brazilian Journal of Microbiology, 33(4), 287–293. DOI: 10.1590/s1517-83822002000400002

Melo, S. de, & Suzuki, M. S. 1998. Variações Temporais e Espaciais do Fitoplâncton das Lagoas Imboassica, Cabiúnas e Comprida. Ecologia Das Lagoas Costeiras Do Parque Nacional Da Restinga de Jurubatiba e Do Município de Macaé (RJ), 177–203.

Middelburg, J. J., & Levin, L. A. 2009. Coastal hypoxia and sediment biogeochemistry. Biogeosciences Discussions, 6(2), 3655–3706. DOI: 10.5194/bgd-6-3655-2009

Millennium Ecosystem Assessment, 2005. Ecosystems and Human Well-being: Synthesis. Island Press, Washington, DC. p. 137. Available at https://www.millenniumassessment.org/documents/document.356.aspx.pdf

Mouillot, D., Dumay, O., & Tomasini, J. A. 2007. Limiting similarity, niche filtering and functional diversity in coastal lagoon fish communities. Estuarine, Coastal and Shelf Science, 71(3–4), 443–456. DOI: 10.1016/j.ecss.2006.08.022

Nesch, E. A., & Palme, G. 1975. Biologische Methoden Fur Die Praxis Der Gewasseruntersuchung. GWF, Wasser - Abwasser, 116(12), 562–565.

Newton, A., Icely, J., Cristina, S., Brito, A., Cardoso, A. C., Colijn, F., Riva, S. D., Gertz, F., Hansen, J. W., Holmer, M., Ivanova, K., Leppäkoski, E., Canu, D. M., Mocenni, C., Mudge, S., Murray, N., Pejrup, M., Razinkovas, A., Reizopoulou, S., Pérez-Ruzafa, A., Schernewski, G., Schubert, H., Carr, L., Solidoro, C., Viaroli, P., & Zaldívar, J. M. 2014. An overview of ecological status, vulnerability and future perspectives of European large shallow, semi-enclosed coastal systems, lagoons and transitional waters. Estuarine, Coastal and Shelf Science, 140, 95–122. DOI: 10.1016/j.ecss.2013.05.023

Panosso, R. F., Attayde, J. L., & Dieter, M. 1998. Morfometria das lagoas Imboassica, Cabiúnas, Comprida e Carapebus: implicações para seu funcionamento e manejo. Ecologia Das Lagoas Costeiras Do Parque Nacional Da Restinga de Jurubatiba e Do Município de Macaé (RJ), 91–108.

Panosso, R. F., & Esteves, F. A. 2000. Regeneração do fósforo através da fosfatase extracelular em duas lagoas costeiras submetidas a diferentes graus de impactos antrópicos. In Esteves, F. A. and Lacerda, L. D. (Eds.). Ecologia de Restingas e Lagoas Costeiras. pp. 277–294. Rio de Janeiro: Núcleo de Pesquisas Ecológicas de Macaé (NUPEM/UFRJ).

Pawar, P. R. 2016. Anthropogenic threats to coastal and marine biodiversity : A review. International Journal of Modern Biological Research, 4, 35–45.

Pérez-Ruzafa, A., Marcos, C., & Pérez-Ruzafa, I. M. 2011. Mediterranean coastal lagoons in an ecosystem and aquatic resources management context. Physics and Chemistry of the Earth, 36(5–6), 160–166. DOI: 10.1016/j.pce.2010.04.013

Petruzzella, A., Marinho, C. C., Sanches, L. F., Minello, M., & Esteves, F. de A. 2013. Magnitude and variability of methane production and concentration in tropical coastal lagoons sediments. Acta Limnologica Brasiliensia, 25(3), 341–351. DOI: 10.1590/s2179-975x2013000300012

Rabalais, N. N., Turner, R. E., Díaz, R. J., Justić, D., Diaz, R. J., & Justic, D. 2009. Global change and eutrophication of coastal waters. ICES Journal of Marine Science, 66(7), 1528–1537. DOI: 10.1093/icesjms/fsp047

Rocha, A. M., Santangelo, J. M., Bozelli, R. L., Castelo-Branco, C. W., & Carneiro, L. S. 2004. Dinâmica temporal de longa duração e os efeitos de distúrbios antrópicos na comunidade zooplanctônica da lagoa de imboassica, Macaé, RJ. In: Rocha, C. F. D., Esteves, F. A. and Scarano, F. R. (Eds.). Pesquisas de longa duração na restinga de Jurubatiba: ecologia, história natural e conservação. pp. 295-308. São Carlos: Rima.

Santangelo, J. M., Rocha, A.M., Bozelli, R. L., Carneiro, L. S., & de Esteves, F. A. 2007. Zooplankton responses to sandbar opening in a tropical eutrophic coastal lagoon. Estuarine, Coastal and Shelf Science, 71(3–4), 657–668. DOI: 10.1016/j.ecss.2006.09.021

Schallenberg, M., Hall, C.J. & Burns, C.W. 2003. Consequences of climate-induced salinity increases on zooplankton abundance and diversity in coastal lakes. Marine Ecology Progress Series, 251, 181–189. DOI: 10.3354/meps251181

Setubal, R. B., Santangelo, J. M., Rocha, A. de M., & Bozelli, R. L. 2013. Effects of sandbar openings on the zooplankton community of coastal lagoons with different conservation status. Acta Limnologica Brasiliensia, 25(3), 246–256. DOI: 10.1590/s2179-975x2013000300005

Suzuki, M. S., Ovalle, A. R. C., & Pereira, E. A. 1998. Effects of sand bar openings on some limnological variables in a hypertrophic tropical coastal lagoon of Brazil. Hydrobiologia, 368(1–3), 111–122. DOI: 10.1023/A:1003277512032

Suzuki, Marina Satika, Figueiredo, R. O., Castro, S. C., Silva, C. E., Pereira, E. A., Silva, J. A., & Aragon, G. T. 2002. Sand bar opening in a coastal Lagoon (Iquipari) in the northern region of Rio de Janeiro state: Hydrological and hydrochemical changes. Brazilian Journal of Biology, 62(1), 51–62. DOI: 10.1590/S1519-69842002000100007

Zar, J. H. 2010. Biostatistical Analysis, Books a la Carte Edition. p. 960.

Downloads

Published

2022-07-08