POTENTIAL USE OF CYCLOPOIDA (CRUSTACEA, COPEPODA) AS TROPHIC STATE INDICATORS IN TROPICAL RESERVOIRS

Authors

  • Wiiliam Marcos da Silva Universidade Federal de Mato Grosso do Sul (UFMS)

Keywords:

Bioindicators, zooplankton, water quality

Abstract

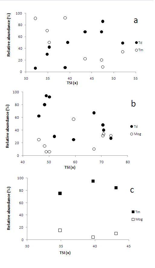
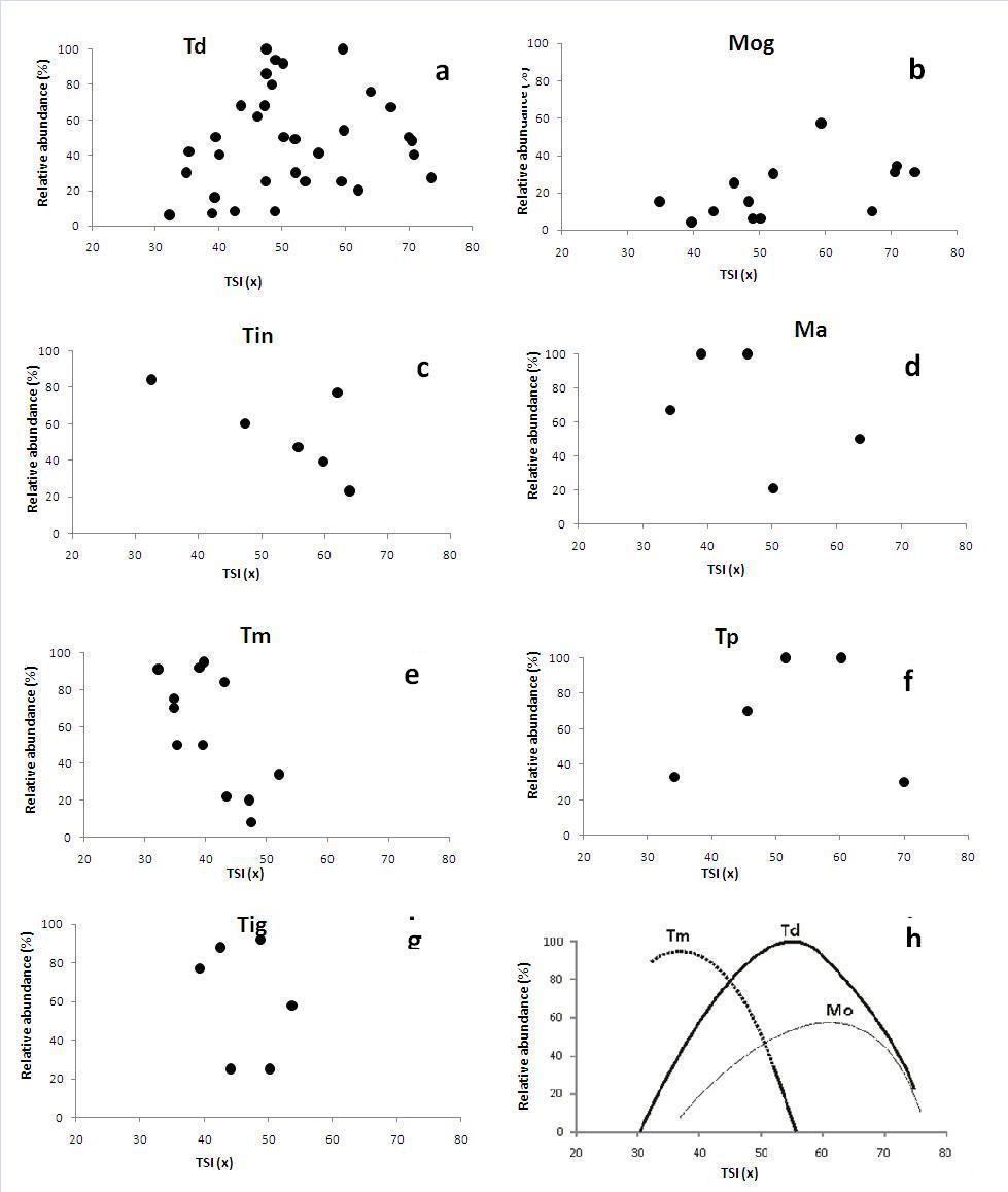
USO POTENCIAL DE CYCLOPOIDA (CRUSTACEA, COPEPODA) COMO  INDICADOR DE ESTADO TRÓFICO EM RESERVATÓRIOS TROPICAIS. Cinquenta e três reservatórios do estado de São Paulo foram amostrados, em suas regiões pelágicas, no projeto “Diversidade de zooplâncton em relação à conservação e degradação dos ecossistemas aquáticos do estado de São Paulo” vinculado ao programa Biota/Fapesp (1999-2003). Estes reservatórios tiveram seus índices de estado trófico (IET) calculado com base nos valores de fósforo total e clorofila a, e suas populações de Copepoda Cyclopoida foram calculadas, considerando-se a riqueza e a abundância relativa para as espécies dominantes. A riqueza de espécies não apresentou relação com o estado de trofia dos reservatórios. Nove espécies de Copepoda Cyclopoida foram dominantes em algum reservatório onde a espécie Thermocyclops decipiens foi a que dominou o maior número de reservatórios, seguida por  T. minutus,  Mesocyclops ogunnus, T. inversus, T. iguapensi, Microcyclops anceps, Tropocyclops prasinus, Microcyclops alius e Mesocyclops longisetus. As espécies mostraram uma alta correlação negativa entre si, acima dos 85%, principalmente entre as espécies congenéricas de Thermocyclops. As espécies mostraram um grande potencial como bioindicadores com a seguinte relação entre TSI e espécie: Thermocyclops decipiens e Tropocyclops prasinus indicam sistemas mesotrófico/eutróficos; Thermocyclops inversus e Microcyclops anceps indicam sistemas oligotrófico/mesotróficos; Thermocyclops minutus e T. iguapensis indicam sistemas oligotróficos e Mesocyclops ogunnus indica sistemas eutróficos.

Palavras-chave: Bioindicadores; zooplâncton; qualidade de água.

Downloads

Download data is not yet available.

Published

2017-02-20