BACTERIOPLANKTON METABOLISM IN HYDROELECTRIC RESERVOIRS

Authors

  • Fabio Roland Universidade Federal de Juiz de Fora - UFJF
  • André C. P. Cimbleris Furnas
  • Lúcia M. Lobão Universidade Federal do Rio de Janeiro - UFRJ
  • Luciana O. Vidal Universidade Federal de Juiz de Fora - UFJF

Keywords:

Hydroelectric Tropical Reservoirs, carbon budget, bacterial production, bacterial respiration, bacterial growth efficiency

Abstract

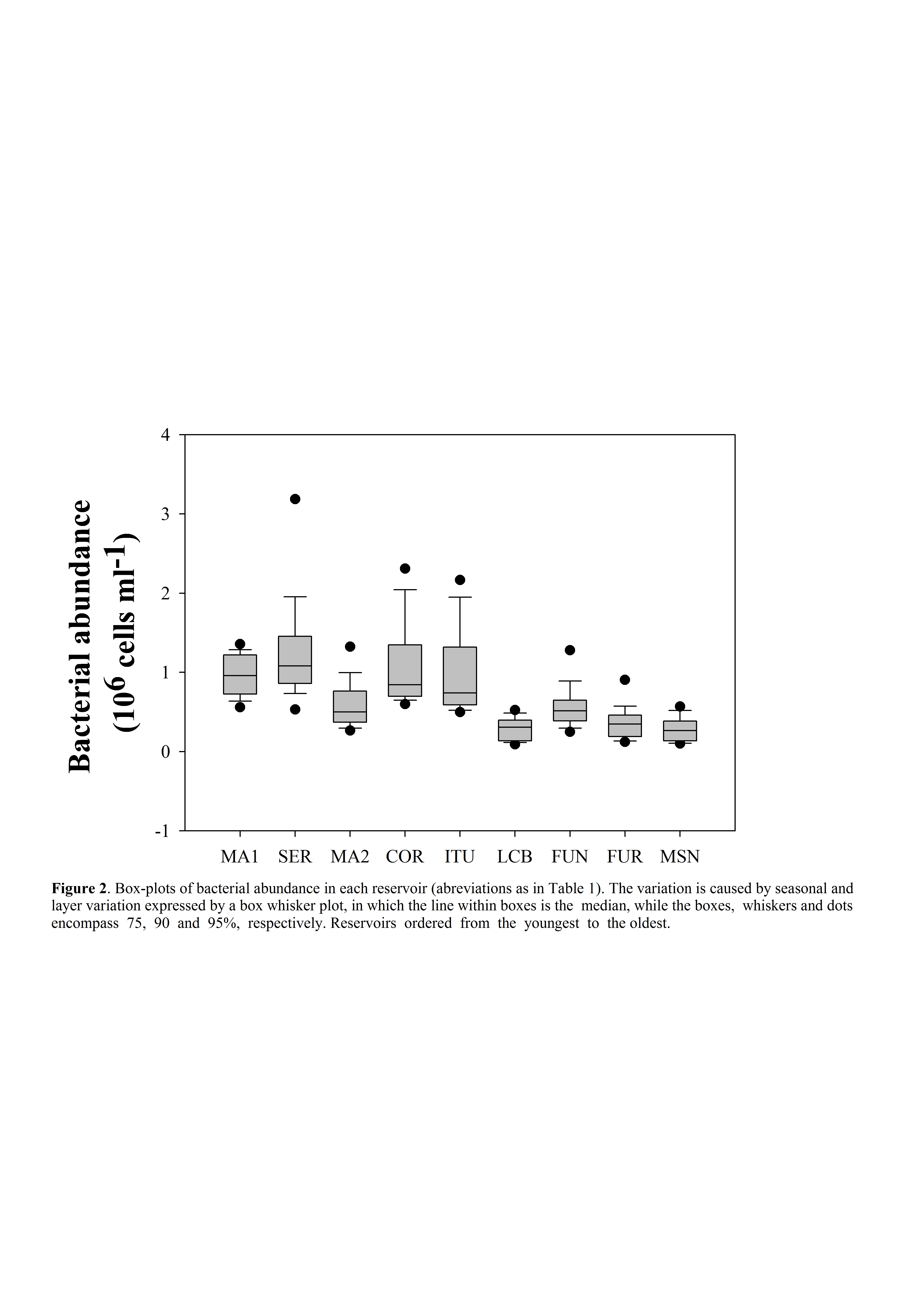
Reservoirs are anthropogenic aquatic systems accounting to a substantial portion of the contemporary distribution, and dynamic, of freshwater systems across a wide geographical gradient throughout the Globe, with potential to increase its participation due to the growth of world's economy and need for energy. These systems may play an important role, poorly documented and currently controversial, to the regional to global balance of greenhouse gases. We studied bacterial metabolism (production and respiration) in eight large hydroelectric reservoirs in Brazil following a gradient in area, age since flooding and residence time. Seven of which located in tropical savanna and the other located in the tropical forest region. The results indicate similar bacterial production (BP) and bacterial respiration (BR) variability, with higher BR rates in relation to BP. Bacterial growth efficiency also showed a wide range (2.5 to 28.7 %), besides a low mean value (13%). Reservoir age was the best predictor for BGE, as well as for the specific bacterial respiration (SBR). The older reservoir showed the lower BGE and the higher SBR. The bacterial metabolism rates in the pelagic regions of tropical Cerrado hydroelectric reservoirs do not differ from natural freshwater system concerning BP, BR and BGE;  however, it is differentiated by the factors driven those rates. 

Downloads

Download data is not yet available.

Published

2017-02-20