O PAPEL DO ESPAÇO EM MODELOS ECOLÓGICOS

Authors

  • Sabrina Borges Lino Araujo Universidade Estadual de Campinas - UNICAMP
  • Marcus Aloizio Martinez de Aguiar Universidade Estadual de Campinas - UNICAMP

Keywords:

Mean field model, spatial model, prey-predator, chaos, synchronization.

Abstract

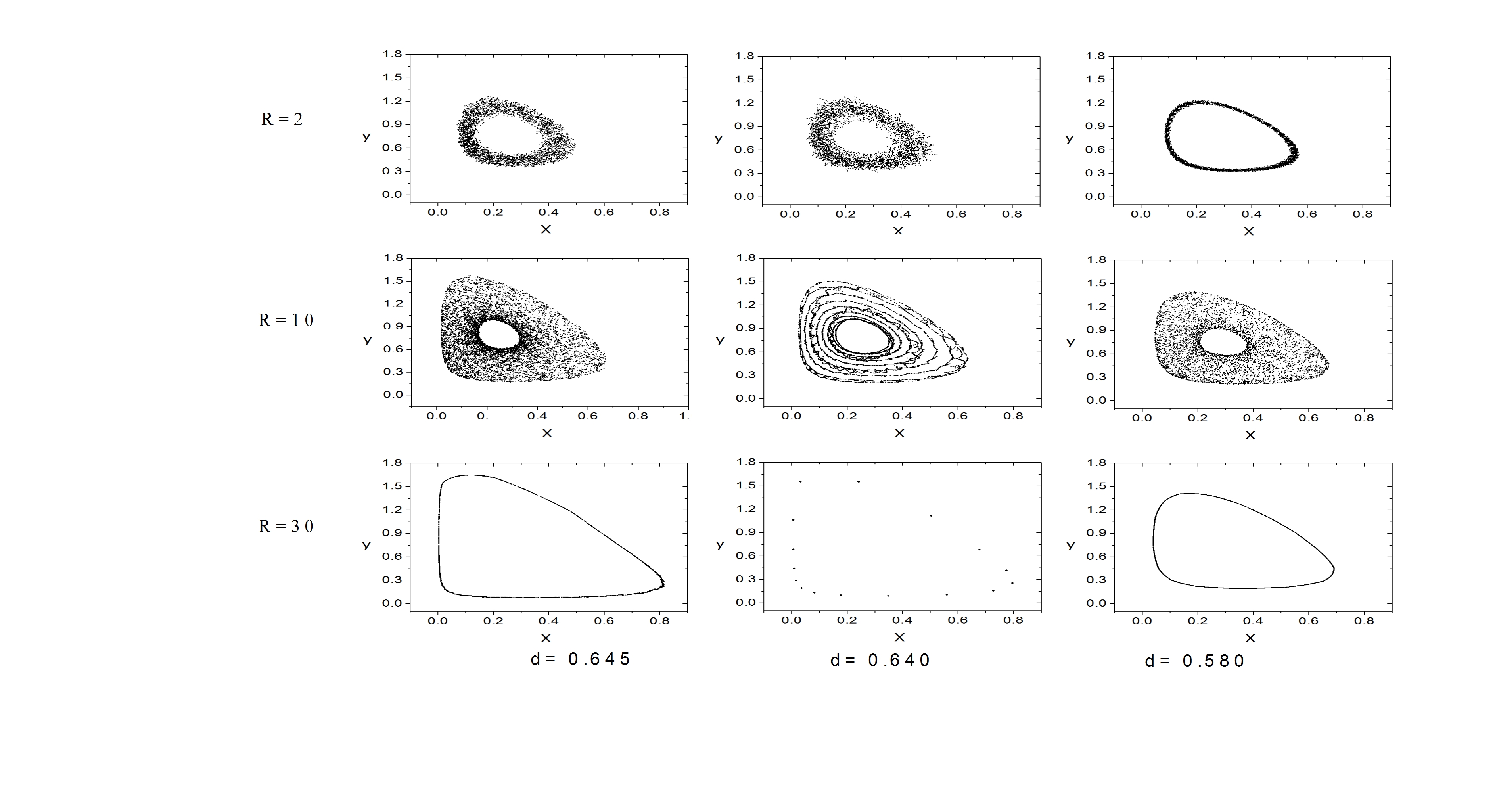
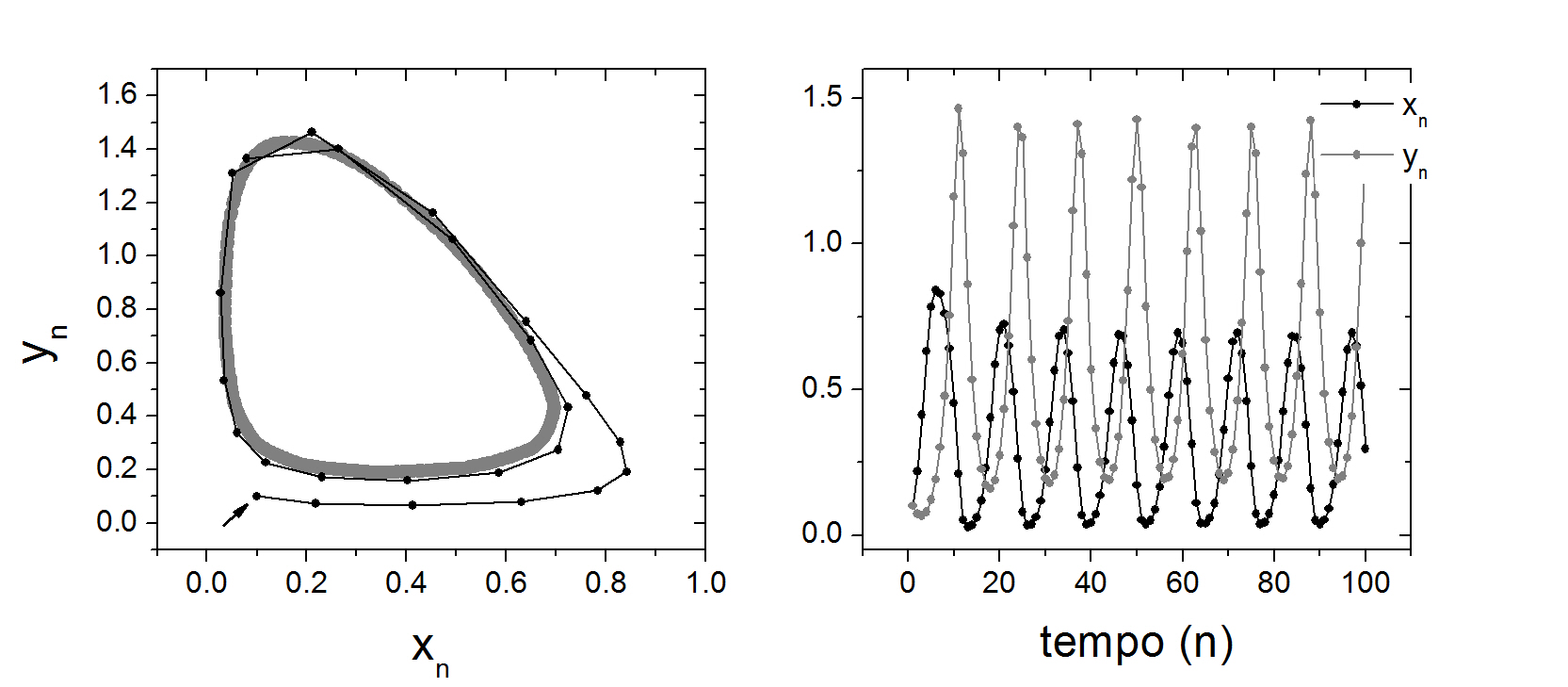
The classic Lotka-Volterra model was proposed to explain the oscillatory character of populations of predators and preys.  Behind the great simplicity of this model, that describes how the total number of individuals of each species varies with time, is the hypothesis that the interactions between individuals are sufficiently random for the spatial distribution of individuals to be ignored. Therefore, factors like environmental inhomogeneities, local variations in population densities and effects of synchronization of subpopulations, among others, are not taken into account. However, these factors may be relevant for the system dynamics and their effects need to be evaluated and understood before one decides for a simple model or a more sophisticated one.In this article we will discuss some of the effects that emerge when we replace mean field models, like that of Lotka and Volterra, by spatial models. The main ingredient of our analysis is the introduction of a foraging area that replaces the random interactions by local ones, limited by a fixed spatial range. We will show that, in certain situations, this modification might have important consequences, leading to predictions that are different from those of equivalent mean field models. Moreover, this approach will allow us to investigate the formation of spatial patterns of densities and the synchronization of these patterns. 

Downloads

Download data is not yet available.

Published

2017-02-21