MEDIUM TO LARGE-SIZED MAMMALS OF THE BIOLOGICAL RESERVE “AUGUSTO RUSCHI”, SÃO PAULO STATE, BRAZIL

Authors

  • Larissa Fornitano Universidade Estadual Paulista "Júlio de Mesquita Filho"
  • Thaís Angeli Universidade Estadual Paulista "Júlio de Mesquita Filho"
  • Rômulo Theodoro Costa Universidade Estadual Paulista "Júlio de Mesquita Filho"
  • Natalie Olifiers Fundação Oswaldo Cruz
  • Rita de Cassia Bianchi Universidade Estadual Paulista "Júlio de Mesquita Filho"

DOI:

https://doi.org/10.4257/oeco.2015.1901.15

Keywords:

Mammals, Camera-traps, Species richness

Abstract

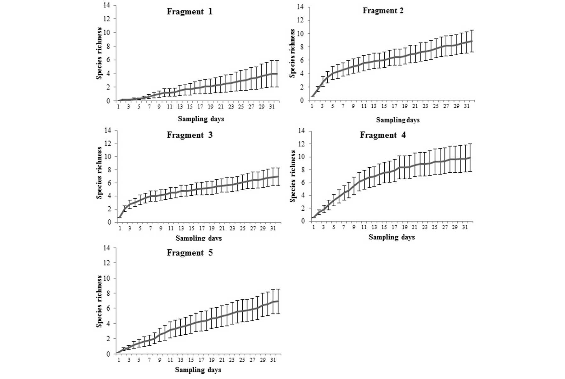
Although São Paulo state presents two hotspots -- the Cerrado and the Atlantic Forest -- it currently has only 13% of its native vegetation, which is divided into 8,300 fragments harboring at least 220 mammal species. The present study aims to survey mammal species of medium to large size in a conservation area of São Paulo -- the Biological Reserve “Augusto Ruschi”. We used 562 camera trap-nights, footprint surveys, and opportunistic visualizations to record species. Species richness was estimated by presence/absence of animals at the camera-trap station and using the first-order Jackknife estimator.  Twelve species of mammals were recorded. The estimated species richness was 10.99 (À 1.4) and there was no correlation between fragment size and species richness (R= -0.60; N=5; p= 0.2847). The species richness of medium and large-sized mammals in the area is considerably high, even though these species are not fully protected due to the presence of anthropogenic activities nearby.

Downloads

Download data is not yet available.

Author Biographies

Larissa Fornitano, Universidade Estadual Paulista "Júlio de Mesquita Filho"

Departamento de Biologia Aplicada à Agropecuária - Unesp/JaboticabalPrograma de Pós-Graduação em Biologia Animal/Unesp/São José do Rio Preto

Thaís Angeli, Universidade Estadual Paulista "Júlio de Mesquita Filho"

Departamento de Biologia Aplicada à Agropecuária/Unesp Jaboticabal

Rômulo Theodoro Costa, Universidade Estadual Paulista "Júlio de Mesquita Filho"

Departamento de Biologia Aplicada à Agropecuária/Unesp Jaboticabal

Natalie Olifiers, Fundação Oswaldo Cruz

Laboratório de Biologia e Parasitologia de Mamíferos Silvestres Reservatórios

Rita de Cassia Bianchi, Universidade Estadual Paulista "Júlio de Mesquita Filho"

Ecology and ConservationDepartamento de Biologia Aplicada à Agropecuária

Downloads

Published

2017-02-23