MAPPING, EXTINCTION RISK ASSESSMENT AND IMPORTANCE FOR EPIPHYTE COMMUNITY OF Vellozia gigantea (VELLOZIACEAE), AN ENDEMIC GIANT DRACENOID PLANT FROM MINAS GERAIS, BRAZIL

Authors

  • Leonardo Cotta Ribeiro Escola Estadual Dona Francisca Josina
  • Katia Torres Ribeiro ICMBio
  • Daniela Campos de Filippo Instituto de Observação da Terra
  • Jaqueline Serafim do Nascimento Escola Estadual Dona Francisca Josina
  • João Augusto Madeira ICMBio

DOI:

https://doi.org/10.4257/oeco.2016.2002.12

Keywords:

Conservation status, Espinhaço Chain, Narrow endemism, Phorophyte, Protected Areas

Abstract

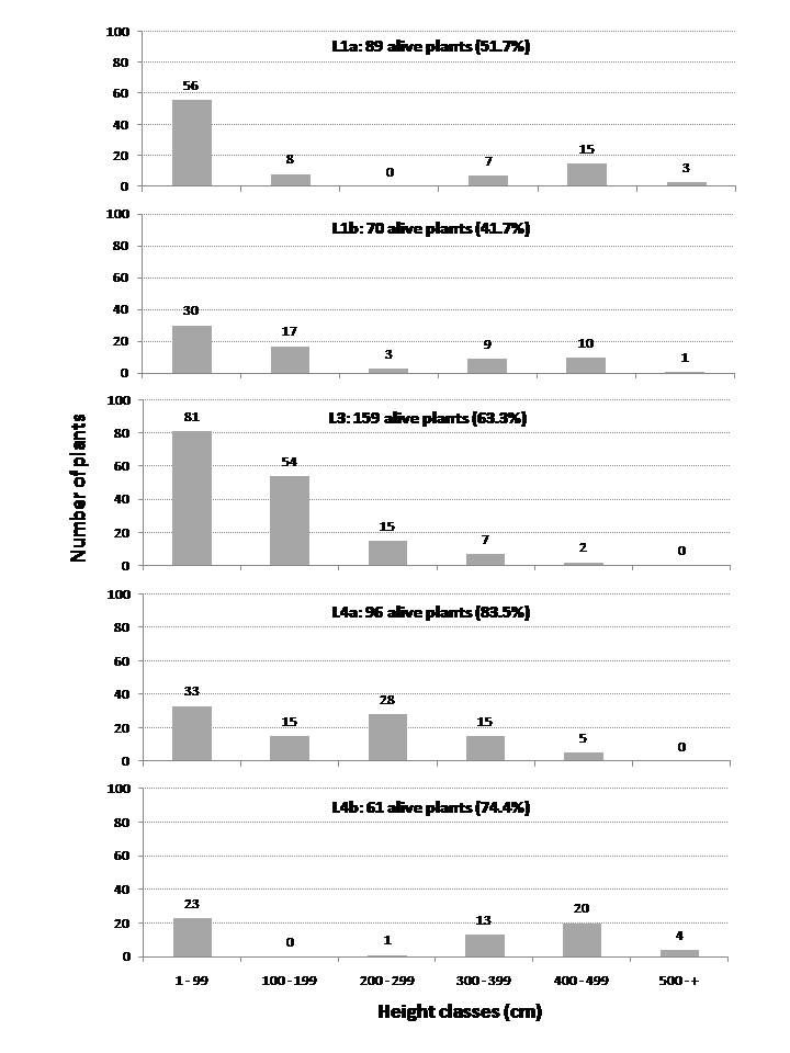
We investigated the geographic distribution and population size and structure of Vellozia gigantea (Velloziaceae) to assess its risk of extinction according to the IUCN criteria and categories, and to propose effective conservation actions for the species. V. gigantea is endemic to campos rupestres of Serra do Cipó (Minas Gerais, Southeast Brazil), a highly endemic species rich grassland vegetation associated to nutrient-poor, well drained, sandy soils. Locally very abundant, V. gigantea is phorophyte for many epiphytes, and its conservation contributes to the maintenance of a diverse array of species. Historically known from a single small patch (1 ha), our mapping efforts increased its known occurrence to a total of 44 patches (2,946 ha). Amidst, 21.4% of this area is within Serra do Cipó National Park (IUCN category II), 56.5% within a surrounding IUCN category V protected area, and 22.1% remain unprotected. We determined the area of occurrence (AOO, 196 km2), the extent of occurrence (EOO, 443 km2), and generation time (higher than 100 years) to define the species risk of extinction. Population size and structure were estimated using ten 5 ×50m transects, which were placed in five patches well apart from each other (two transects in each). Plant and epiphyte abundance were estimated and signs of fire were verified, since it was considered the main incident threat. Based on IUCN criteria B1 and B2 (geographic range, EOO and/or AOO) and subcriteria a and b (number of locations and inferred/projected continuing decline in area of occupancy, area, extent and/or quality of habitat), V. gigantea should be classified as a threatened species under the IUCN Vulnerable category (EEO: 442.86 km2; AOO: 196.00 km2 and seven locations - VU B1ab(iii) + 2ab(iii.) This status differs from the present official one -- Endangered (EN). The whole population was estimated in 6 million plants with a proportion of ca. 75% of mature individuals, well above any threshold of concern. Nevertheless, a large portion of the population is outside any protected area and epiphytes are strongly pressured by gatherers. Fire management should be improved in order to avoid late season severe burnings that kill even old plants, and we reinforce the importance of increasing Serra do Cipó National Park limits towards eastern slopes, where V. gigantea prevail.

Downloads

Download data is not yet available.

Author Biographies

Leonardo Cotta Ribeiro, Escola Estadual Dona Francisca Josina

Mestre em Ecologia, Conservação e Manejo da Vida Silvestre, professor da Escola Estadual Dona francisca Josina, Serra do Cipó.

Katia Torres Ribeiro, ICMBio

Dra em Ecologia, Coordenadora Geral de Pesquisa e Monitoramento, Instituto Chico Mendes de Conservação da Biodiversidade.

Daniela Campos de Filippo, Instituto de Observação da Terra

Mestre em Conservação e Sustentabilidade

João Augusto Madeira, ICMBio

Dr. em Ecologia, analista ambiental do ICMBio.

Downloads

Published

2017-02-23