INTEGRATING MACROECOLOGY AND QUANTITATIVE GENETICS: EVOLUTION OF BODY SIZE AND BRAIN SIZE UNDER ISLAND RULE

Authors

  • José Alexandre Felizola Diniz-Filho Universidade Federal de Goiás
  • Wanderson Santos Universidade Federal de Goiás
  • Lucas Jardim Universidade Federal de Goiás

DOI:

https://doi.org/10.4257/oeco.2018.2202.09

Keywords:

adaptive evolution, ecogeographic rule, evolutionary genetics, island dwarfism, microevolution

Abstract

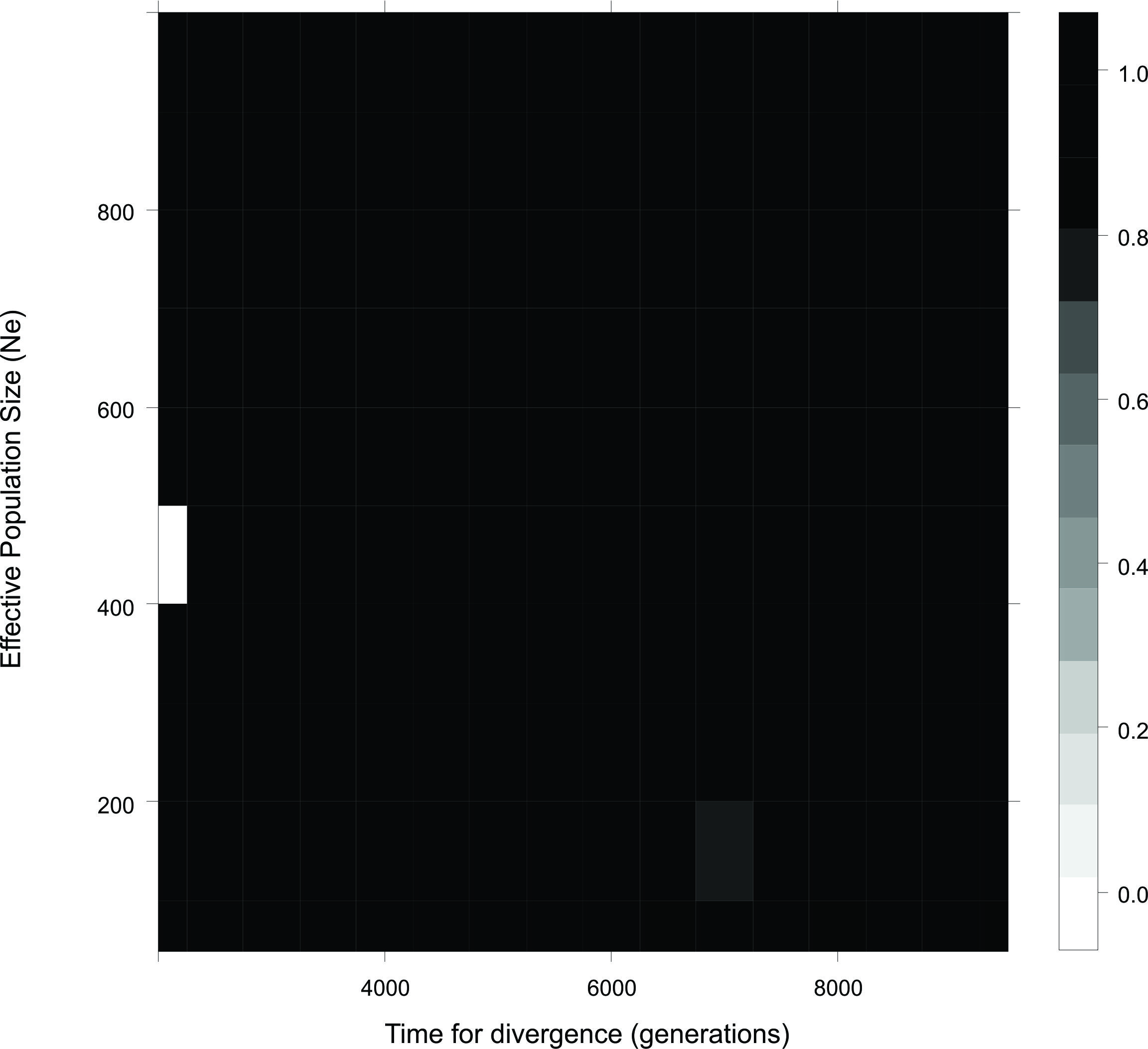
Island rule proposes that a negative correlation between ancestral body size in continents and the descendent body size in islands exists, and this pattern have been widely studied in a macroecological and comparative perspectives. However, there are doubts about what mechanisms underlie body size evolution in islands. Here we review methodological and theoretical framework on evolutionary quantitative genetics, showing their application on body and brain size evolution in islands, using Hippopotamus dwarfism as example. In our analyses we started by generating 10,000 combinations of model parameters (generation time, effective size and heritability) and tested by Mutation-Drift Equilibrium model if body size dwarfism is a consequence of neutral drift or directional selection. We found that 99.9 % of simulations rejected neutral model. Then, we estimated the strength of directional selection necessary to differentiate the island species and found that a relatively low proportion of population (0.01 - 0.2%) should be selectively killed to decrease body size. Our results also showed that one unit decrease in body size would increase, on average, fitness by 4% in each generation, so directional selection is a plausible explanation to island rule. Finally, we also simulated the evolution of brain size of dwarfed Hippopotamus as a consequence of body size evolution alone. Our estimates of Expected Brain Size (EBS = 484 À 64 cc) were larger than the observed brain size (equal to 380 cc), which suggests the need to estimate directional selection acting on brain size independently of body size evolution. This supports the overall idea that brain size reduction is advantageous in island environments under a scenario reduction in resources, due to the high energetic budget of brain. Our analyses using evolutionary quantitative genetic support that Island Rule as a parsimonious adaptive explanation for the reduction in brain and body sizes and illustrates how to couple evolutionary analyses at population level to better understand macroecological patterns.

Downloads

Download data is not yet available.

Author Biographies

José Alexandre Felizola Diniz-Filho, Universidade Federal de Goiás

Instituto de Ciências Biológicas, Departamento de Ecologia, Programa de Pós-Graduação em Ecologia & Evolução

Wanderson Santos, Universidade Federal de Goiás

Instituto de Ciências Biológicas, Departamento de Ecologia, Programa de Pós-Graduação em Genética & Biologia Molecular

Lucas Jardim, Universidade Federal de Goiás

Instituto de Ciências Biológicas, Departamento de Ecologia, Programa de Pós-Graduação em Ecologia & Evolução

Downloads

Published

2018-06-12