SUBSTRATOS ALTERNATIVOS NA PRODUÇÃO DE MUDAS DE Harpalyce brasiliana BENTH.

Authors

  • Maria da Penha Moreira Gonçalves Universidade Federal de Pernambuco
  • Marília Isabelle Oliveira da Silva Universidade Federal Rural de Pernambuco
  • Marilia Alves Grugiki Universidade Federal Rural de Pernambuco
  • Ana Lícia Patriota Feliciano Universidade Federal Rural de Pernambuco
  • Lucas Benedito da Silva Universidade Federal Rural de Pernambuco

DOI:

https://doi.org/10.4257/oeco.2019.2303.06

Keywords:

carnauba straw, Cerrado, quality of seedlings

Abstract

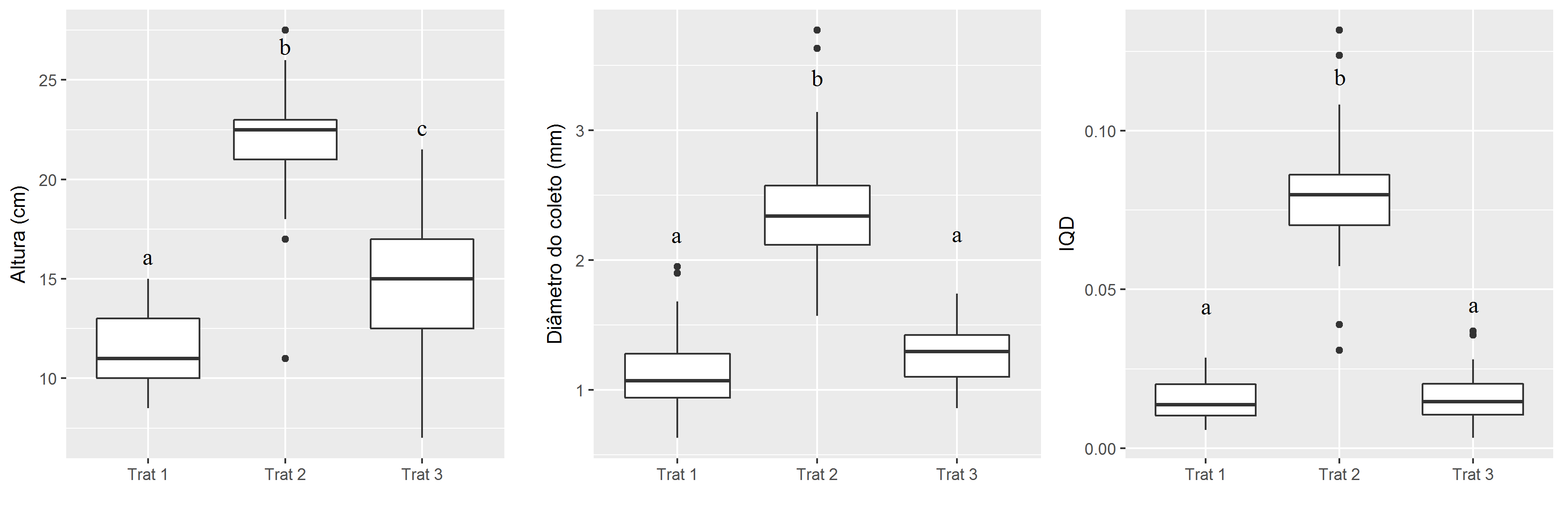
A produção de mudas é uma etapa importante na conservação e utilização silvicultural das espécies nativas, onde a escolha do substrato adequado pode viabilizar o processo produtivo. Nesse contexto, o presente experimento teve como objetivo avaliar o efeito de diferentes substratos alternativos na produção de mudas de Harpalyce brasiliana Benth.. O experimento foi implantado em delineamento inteiramente casualizado (DIC) com três tratamentos, quatro repetições e nove mudas por repetição, conduzidas a pleno sol e irrigadas duas vezes ao dia. Os tratamentos utilizaram diferentes compostos em sua formulação (serragem, bagana de carnaúba e fibra de coco). As variáveis analisadas foram: altura (H), diâmetro do coleto (DC), massa seca da parte aérea (MSPA), massa seca do sistema radicular (MSR), massa seca total (MST), relação entre a massa seca da parte aérea e a massa seca do sistema radicular (RMSPAR) e índice de qualidade de Dickson (IQD). As mudas produzidas no tratamento com bagana de carnaúba apresentaram maiores médias em todas as variáveis analisadas, quando comparadas aos demais tratamentos. O maior crescimento de mudas de H. brasiliana é proporcionado pelo substrato composto por bagana de carnaúba, atingindo o tamanho adequado para plantio aos 120 dias após a implantação do experimento. 

ALTERNATIVE SUBSTRATES IN THE PRODUCTION OF SEEDLINGS OF Harpalyce brasiliana BENTH. The production of seedlings is an important step in the conservation and silvicultural use of native species, where the choice of the appropriate substrate can make the productive process viable. In this context, the present experiment aimed to evaluate the effect of different alternative substrates on Harpalyce brasiliana Benth seedling production. The experiment was carried out in a completely randomized design (DIC) with three treatments, four replications and nine seedlings per repetition. in full sun and irrigated twice a day. The treatments used different compounds in their formulation (sawdust, carnauba bagana and coconut fiber). The variables analyzed were: height (H), collection diameter (DC), shoot dry mass (MSPA), dry mass of the root system (MSR), total dry mass between the dry mass of the aerial part and the dry mass of the root system (RMSPAR) and Dickson quality index (IQD). The seedlings produced in the treatment with carnauba bagana presented higher mean values analyzed variables compared to the other treatments. The highest growth of H. braziliana seedlings is provided by the substrate composed of bagana of carnauba, reaching the appropriate size for planting at 120 days after the implantation of the experiment.

Downloads

Download data is not yet available.

Author Biographies

Maria da Penha Moreira Gonçalves, Universidade Federal de Pernambuco

Departamento de Ciência Florestal

Marília Isabelle Oliveira da Silva, Universidade Federal Rural de Pernambuco

Departamento de Ciência Florestal

Marilia Alves Grugiki, Universidade Federal Rural de Pernambuco

Departamento de Ciência Florestal

Ana Lícia Patriota Feliciano, Universidade Federal Rural de Pernambuco

Departamento de Ciência Florestal

Lucas Benedito da Silva, Universidade Federal Rural de Pernambuco

Departamento de Ciência Florestal

References

Alvares, C. A., Stape, J. L., Sentelhas, P. C., Gonçalves, J. L. M., & Sparovek, G. 2013. Köppen’s climate classification map for Brazil. Meteorologische Zeitschrift, 22(6), 711–728.

Araújo, E. F., Aguiar, A. S., Arauco, M. A. S., Gonçalves, E. O., & Almeida, K. N. S. 2017. Crescimento e qualidade de mudas de paricá produzidas em substratos à base de resíduos orgânicos. Revista Nativa, 5(1), 16–23. DOI: 10.5935/2318-7670.v05n01a03

Araújo, E. F., Arauco, S. A. M., Lacerda, J. J. J., Ratke, F. R., & Medeiros, C. J. 2016. Crescimento e balanço nutricional de mudas de Enterolobium contortsiliquum com aplicação de substratos orgânicos e água residuária. Pesquisa Florestal Brasileira, 36(86), 169–177. DOI: 10.4336/2016.pfb.36.86.1135

Barbieri, R. F. 2010. Outro lado da Fronteira Agrícola: Breve história sobre a origem e o declínio da agricultura autóctone no Cerrado. Ambiente e Sociedade, 13(2), 331–345.

Bechara, F. C., Fernandes, G. D., & Silveira, R. L. 2007. Quebra de dormência de sementes de Chamaecrista flexuosa (L.) Greene visando a restauração ecológica do Cerrado. Revista de Biologia Neotropical, 4(1), 58–63. DOI: 10,5216/rbn.v4i1.4657

Birchler, T., Rose, R. W., Royo, A., & Pardos, M. 1998. La planta ideal: revision del concepto, parametros definitorios e implementaction practica. Investigacion Agraria, Sistemas y Recursos Forestales, 7(1/2), 109–121.

Caldeira, M. V. W., Rosa, G. N., Fenilli, T. A. B., & Harbs, R. M. P. 2008. Composto orgânico na produção de mudas de aroeira-vermelha. Scientia Agraria, 9(1), 27–33. DOI: 10.5380/rsa.v9i1.9898

Caldeira, M. V. W., Peroni, L., Gomes, D. R., Delarmelina, W. M., & Trazzi, P. A. 2012. Diferentes proporções de biossólido na composição de substratos para a produção de mudas de timbó (Ateleia glazioveana Baill). Scientia Forestalis, 40(93), 15–22.

Caldeira, M. V. W., Delarmelina, W. M., Faria, J. C. T., & Juvanhol, R. S. 2013. Substratos alternativos na produção de mudas de Chamaecrista desvauxii. Revista Árvore, 37(1), 31–39.

Camara, R., Fonseca Júnior, A. M., Sousa, A. C. O., Pereira, M. G., & Oliveira Júnior, J. Q. 2017. Influência do substrato e inoculação micorrízica na produção de mudas de Colubrina glandulosa Perkins. Floresta, 47 (4), 449–458.

Castro, V. C., Fernandes, M. M., Fernandes, M. R. M., & Nóbrega, R. S. A. 2015. Avaliação de diferentes substratos orgânicos para mudas de Enterolobium contortisiliquum em uma área desertificada. Revista Agrogeoambiental, 8(3), 101–109. DOI: 10.18406/2316-1817v8n32016884

Chen, X., Yuan, H., Chen, R., Zhu, L., Du, B., Weng, Q., & He, G. 2002. Isolation and characterization of triacontanol-regulated genes in rice (Oryza sativa L.): Possible role of triacontanol as a plant growth stimulator. Plant and Cell Physiology, 43(8), 869–876. DOI: 10.1093/pcp/pcf100

Coelho, M. F. B., & Dombroski, J. L. D. 2006. Cultivo, manejo e micropropagação de nó-de-cachorro (Heteropteris aphrodisiaca O. Mach. - Malpighiaceae): espécie de uso medicinal em Mato Grosso. Cuiabá: FAPEMAT: p.95.

Coelho, M. F. B., Souza, R. L. C., Albuquerque, M. C. F., Weber, O. S., & Nogueira Borges, H. B. 2008. Qualidade de mudas de nó-de-cachorro (Heteropteris aphrodisiaca O. Mach.) em diferentes substratos. Revista Brasileira de Plantas Medicinais, 10(3), 82–90.

Costa, E., Leal, P. A. M., Rego, N. H., & Benatti, J. 2011. Desenvolvimento inicial de mudas de jatobazeiro do Cerrado em Aquidauana – MS. Revista Brasileira de Fruticultura, 33(1), 215–226. DOI: 10.1590 / S0100-29452011005000035

Costa, I. R. D. A., Araújo, F. S., & Lima-Verde, L. W. 2004. Flora e aspectos auto-ecológicos de um encrave de Cerrado na chapada do Araripe, Nordeste do Brasil. Acta Botanica Brasilica, 18(4), 759–770.

Costa, M. C., Albuquerque, M. C. F., Albrecht, J. M. F., & Coelho, M. F. B. 2005. Substratos para produção de mudas de jenipapo (Genipa americana L.). Pesquisa Agropecuária Tropical, 35(1), 19–24. DOI: 10.5216/pat.v35i1.2280

Delarmelina, W. M., Caldeira, M. V. W., Faria, J. C. T., & Lacerda, L. C. 2015. Uso de resíduo orgânico em substrato para produção de Chamaecrista desvauxii (Collad.) Killip var. latistipula (Benth.). Cerne, 21, 429–437. DOI: 10.1590/01047760201521031439

Della Giustina, C. C. 2013. Degradação e Conservação do Cerrado: uma história ambiental do estado de Goiás. Tese de doutorado. Departamento de Ciência Florestal. Universidade de Brasília. p. 206. http://repositorio.unb.br/handle/10482/14387

Dickson, A., Leaf, A. L., & Hosner, J. F. 1960. Quality appraisal of while spruce and white pine seedling stock in nurseries. Forestry Chronicle, 36(1), 11–13.

Durigan, G., Melo, A. C. G., Max, J. C. M., Vilas Bôas, O., & Contieri, W. A. 2011. Manual para recuperação da vegetação de Cerrado. 3 ed. São Paulo: SMA: p. 26.

Faria, J. C. T., Caldeira, M. V. W., Delarmelina, W. M., & Rocha, R. L. F. 2016. Substratos alternativos na produção de mudas de Mimosa setosa Benth. Ciência Florestal, 26(4), 1075–1086.

Fenilli, T. A. B., Schorn, L. A., & Nasato, S. K. 2010. Utilização do pó de fumo no substrato para produção de mudas de tucaneira. Revista acadêmica – ciências agrárias e ambientais, 8(1), 183–190. DOI: 10.7213/cienciaanimal.v8i2.10838

Ferreira, C. S., Nunes, J. A. R., & Gomes, R. L. F. 2013. Manejo de corte das folhas de Copernicia prunifera (Miller) H. E. Moore no Piauí. Revista Caatinga, 26(2), 25–30.

Fonseca, E. P., Valeri, S. V., Miglioranza, E., Fonseca, N. A. N., & Couto, L. 2002. Padrão de qualidade de mudas de Trema micrantha (L.) Blume, produzidas sob diferentes períodos de sombreamento. Revista Árvore, 26(4), 515–523.

Freitas, E. C. S., Paiva, H. N., Leite, H. G., & Oliveira Neto, S. N. 2017. Crescimento e qualidade de mudas de Cassia grandis Linnaeus f. em resposta a adubação fosfatada e calagem. Ciência Florestal, 27(2), 509–519.

Gonçalves, M. P. M., Feliciano, A. L. P., Silva, L. B., & Silva, A. P. 2018. Superação de dormência de sementes de Harpalyce brasiliana Benth (Fabaceae). Scientia Agraria (ONLINE), 19(1), 133–141.

Gomes, D. R., Caldeira, M. V. W., Delarmelina, W. M., Gonçalves, E. O., & TRAZZI, P. A. 2013. Lodo de esgoto como substrato para a produção de mudas de Tectona grandis L. Cerne, 19(1), 123–131.

Larcher, W. 2006. Ecofisiologia vegetal. 3 ed. São Carlos: Editora RiMa: p. 529.

Lima, P. A. F., Gatto, A., Albuquerque, L. B., Malaquias, J. V., & Aquino, F. G. 2016. Crescimento de mudas de espécies nativas na restauração ecológica de matas ripárias. Neotropical Biology and Conservation, 11(2), 72–79. DOI: 10.4013/nbc.2016.112.03

Lustosa Filho, J. F., Nóbrega, J. C. A., Nóbrega, R. S. A., Dias, B. O., Amaral, F. H. C., & Amorim, S. P. N. 2015. Influence of organic substrates on growth and nutrient contents of jatobá (Hymenaea stigonocarpa). African Journal of Agricultural Research, 10(26), 2544–2552. DOI: 10.5897/AJAR2015.9781

MAPA - MINISTÉRIO DA AGRICULTURA PECUÁRIA E ABASTECIMENTO . Portaria n° 05, de 18 de janeiro de 2016. (Obtido em 06 de maio de 2018, em http://www.agricultura.gov.br/acesso-a-informacao/participacao-social/consultas-publicas/portaria-ndeg-05-de-18-de-janeiro-de-2016).

Mariano Júnior, J. A., & Marques, L. G. A. 2009. Cera de Carnaúba. Cadernos de Prospecção, 2(1), 36–38.

Marinho, P. H. A., Sousa, R. M., Giongo, M., Viola, M. R., & Souza, P. B. 2017. Influência de diferentes substratos na produção de mudas de flamboyant Delonix regia (Bojer ex Hook.) Raf. Revista Agro@mbiente On-line, 11(1), 40–46. DOI: 10.18227/1982-8470ragro.v11i1.3870

Moreira, E. B. M., & Galvíncio, J. D. 2007. Espacialização das temperaturas à superfície na cidade do Recife, utilizando imagens TM – LANNDSAT 7. Revista de Geografia da UFPE, 24(3), 101–115.

Moreira, F. M. S. 2008. Bactérias fixadoras de nitrogênio que nodulam Leguminosae. In: F. M. S. Moreira, J. O. Siqueira & L. Brussaard (Eds.). Biodiversidade do solo em ecossistemas brasileiros. pp. 621—680. Lavras: Editora UFLA.

Negreiros, J. R. S., Álvares, V. S., Braga, L. R., & Bruckner, C. H. 2004. Diferentes substratos na formação de mudas de maracujazeiro-amarelo. Revista Ceres, 51(294), 243–249.

Novaes, A. B., Silva, H. F., Sousa, G. T. O., & Azevedo, G. B. 2014. Qualidade de mudas de Nim Indiano produzidas em diferentes recipientes e seu desempenho no campo. Revista Floresta, 44(1), 101–110. DOI: 10.5380/rf.v44i1.30207

Oliveira, M. C., Ogata, R. S., Andrade, G. A., Santos, D. S., Souza, R. M., Guimarães, T. G., Silva Júnior, M. C., Pereira, D. J. S., & Ribeiro, J. F. 2016. Manual de viveiro e produção de mudas: espécies arbóreas nativas do Cerrado. Brasília: Editora Rede de Sementes do Cerrado: p. 124.

Oliveira, H. F. E., Souza, C. L., Felix, D. V., Fernandes, L. S., Xavier, O. S., & Alves, L. M. 2017. Desenvolvimento inicial de mudas de Baruzeiro (Dipteryx alata Vog) em função de susbtratos e lâminas de irrigação. Irriga, 22(2), 288–300.

Oliveira, M C., Ogata, R. S., Andrade, G. A., Santos, D. S., Souza, R. M., Guimarães, T. G., Silva Júnior, M. C., Pereira, D. J. S., & Ribeiro, J. F. 2016. Manual de viveiro e produção de mudas: espécies arbóreas nativas do Cerrado. Brasília: Editora Rede de Sementes do Cerrado: p. 124.

Pilon, N. L., & Durigan, G. 2013. Critérios para indicação de espécies prioritárias para restauração da vegetação de Cerrado. Scientia Forestalis, 41(99), 389–399.

Pontes, M. C. N. D. 2014. Contribuição ao conhecimento químico da espécie Harpalyce brasiliana Benth.. Dissertação de mestrado. Departamento de Química. Universidade Federal do Rio Grande do Norte. p. 202. https://repositorio.ufrn.br/jspui/handle/123456789/23088

Ritchie, G. A., Landis, T. D., Dumroese, R. K., & Haase, D. L. 2010. Assessing plant quality. In: T. D. Landis, R. K. Dumroese & D. L. Haase (Eds.), Seedling processing, storage and outplanting. pp. 19–81. Washington: U.S. Department of Agriculture, Forest Service.

Saidelles, F. L. F., Caldeira, M. V. W., Schirmer, W. N., & Sperandio, H. V. 2009. Casca de arroz carbonizada como substrato para produção de mudas de tamboril-da-mata e garapeira. Semina: Ciências Agrárias, 30 (1), 1173–1186.

Simões, D., Silva, R. B. G., & Silva, M. R. 2012. Composição do substrato sobre o desenvolvimento, qualidade e custo de produção de mudas de Eucalyptus grandis Hill ex Maiden × Eucalyptus urophylla S. T. Blake. Ciência Florestal, 22(1), 91–100. DOI: 10.5902/198050985082

Sitinjak, R. R., & Pandiangan, D. 2014. The effect of plant growth regulator triacontanol to the growth of cação seedlings (Theobroma cacao L.). Agrivita, 36(3), 260–267, 2014. DOI: 10.17503

Souza, L. B. 2012. Produção de mudas de espécies florestais em substratos regionais. Dissertação de Mestrado. Departamento de Agronomia. Universidade Federal do Piauí. p. 75. https://sigaa.ufpi.br/sigaa/public/programa/defesas.jsf?lc=pt_br&id=612

Ximenes, R. M. 2012. Atividade antifosfolipásica A2 da Harpalicina 2, uma isoflavona isolada de Harpalyce brasiliana Benth. Tese de doutorado. Departamento de Fisiologia e Farmacologia. Universidade Federal do Ceará. p. 134. http://www.repositorio.ufc.br/handle/riufc/4038

Published

2019-09-06