A PROTECTION AREA IN A SUBTROPICAL FLOODPLAIN INFLUENCED THE PHYTOPLANKTON TAXONOMIC AND FUNCTIONAL DIVERSITY

Authors

  • Alfonso Pineda Universidade Estadual de Maringá
  • Aline Caroline Magro de Paula Universidade Estadual de Maringá
  • Patrícia Iatskiu Universidade Estadual de Maringá
  • Geovani Arnhold Moresco Universidade Estadual de Maringá
  • Yasmin Rodrigues Souza Universidade Estadual de Maringá
  • Laura Andrea Ortega Universidade Estadual de Maringá
  • Felipe Morais Zanon Universidade Estadual de Maringá
  • Bárbara Furrigo Zanco Universidade Estadual de Maringá
  • Susicley Jati Universidade Estadual de Maringá
  • Jascieli Carla Bortolini Universidade Federal de Goiás
  • Luzia Cleide Rodrigues Universidade Estadual de Maringá

DOI:

https://doi.org/10.4257/eco.2020.2402.19

Keywords:

damming, freshwater ecosystems, functional traits, natural park, temporal series

Abstract

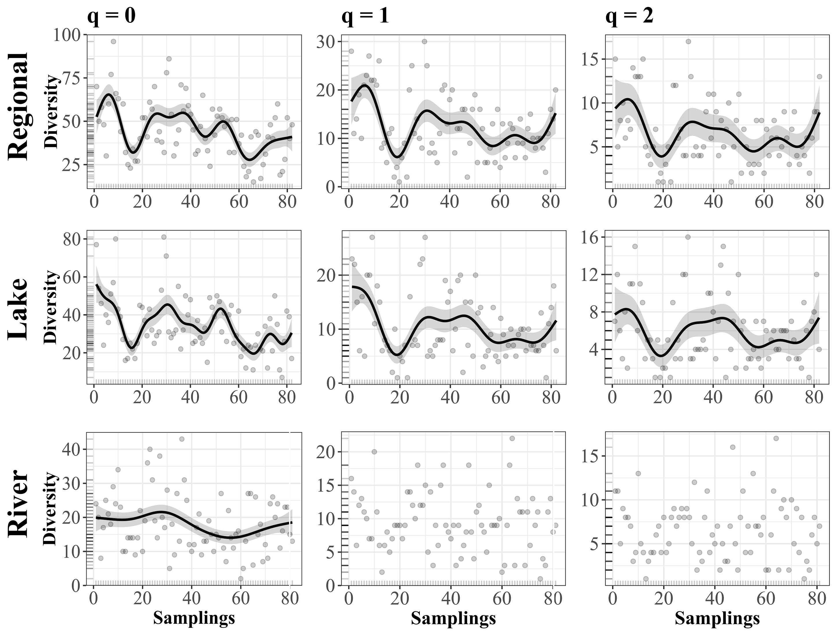
Protection areas favor diversity as they decrease the impact of anthropic disturbance on biological communities. Testing its effects on diverse biological communities is a pivotal step to understand how different trophic levels react to such management and conservation strategies. Here, we used data collected from 1993 to 2018 from a subtropical floodplain to evaluate the effect of the installation of a protection zone on the taxonomic and functional diversity of the phytoplankton community. We showed that the installation of the park had a positive effect on the aquatic community, mainly related to the decrease of cyanobacteria dominance and to the increase of phytoplankton functional groups. However, our results also suggested that dynamics occurring in a scale beyond the park seemed to influence key factors for the phytoplankton community, such as transparency and nutrient concentrations. Thus, although we showed that a compensatory measure had a positive effect on biodiversity, we believe that the establishment of protection zones must also consider and integrate the management of the river basin where the areas to be protected are located.


Downloads

Download data is not yet available.

References

Agostinho, A. A., Pelicice, F. M., & Gomes, L. C. 2008. Dams and the fish fauna of the Neotropical region: impacts and management related to diversity and fisheries. Brazilian Journal of Biology, 68, 1119–1132. DOI: 10.1590/S1519-69842008000500019

Anderson, M. J. 2001. A new method for non-parametric multivariate analysis of variance. Austral Ecology, 26(1), 32–46. DOI: 10.1080/13645700903062353

Beamud, S. G., León, J. G., Kruk, C., Pedrozo, F., & Diaz, M. 2015. Using trait-based approaches to study phytoplankton seasonal succession in a subtropical reservoir in arid central western Argentina. Environmental Monitoring and Assessment, (5), 187–271. DOI: 10.1007/s10661-015-4519-1

Beisner, B. E., Peres-Neto, P. R., Lindström, E. S., Barnett, A., & Longhi, M. L. 2006. The role of environmental and spatial processes in structuring lake communities from bacteria to fish. Ecology, 87(12), 2985–2991. DOI: 10.1890/0012-9658(2006)87[2985:TROEAS]2.0.CO;2

Bellinger, E. G., & Sigee, D. C. 2011. Freshwater Algae: Identification and Use as Bioindicators. L. John Wiley & Sons (Org.), Chichester, UK: WILEY-BLACKWELL.

Berkes, F. 2009. Evolution of co-management: Role of knowledge generation, bridging organizations and social learning. Journal of Environmental Management, 90(5), 1692–1702. DOI: 10.1016/j.jenvman.2008.12.001

Bortolini, J. C., Bovo-Scomparin, V. M., Paula, A. C. M. de, Moresco, G. A., Reis, L. M., Jati, S., & Rodrigues, L. C. 2014. Composition and species richness phytoplankton in a subtropical floodplain lake : a long-term study. Acta Limnologica Brasiliensia, 26(3), 296–305.

Chao, A., Gotelli, N. J., Hsieh, T. C., Sander, E. L., Ma, K. H., Colwell, R. K., & Ellison, A. M. 2014. Rarefaction and extrapolation with Hill numbers: A framework for sampling and estimation in species diversity studies. Ecological Monographs, 84(1), 45–67. DOI: 10.1890/13-0133.1

Chape, S., Harrison, J., Spalding, M., & Lysenko, I. 2005. Measuring the extent and effectiveness of protected areas as an indicator for meeting global biodiversity targets. Philosophical Transactions of the Royal Society B: Biological Sciences, 360(1454), 443–455. DOI: 10.1098/rstb.2004.1592

Chillo, V., Anand, M., & Ojeda, R. A. 2011. Assessing the Use of Functional Diversity as a Measure of Ecological Resilience in Arid Rangelands. Ecosystems, 14(7), 1168–1177. DOI: 10.1007/s10021-011-9475-1

Di Minin, E., Soutullo, A., Bartesaghi, L., Rios, M., Szephegyi, M. N., & Moilanen, A. 2017. Integrating biodiversity, ecosystem services and socio-economic data to identify priority areas and landowners for conservation actions at the national scale. Biological Conservation, 206, 56–64. DOI: 10.1016/j.biocon.2016.11.037

Dudgeon, D., Arthington, A. H., Gessner, M. O., Kawabata, Z.-I., Knowler, D. J., Lévêque, C., Naiman, R. J., Prieur-Richard, A.-H., Soto, D., Stiassny, M. L. J., & Sullivan, C. A. 2006. Freshwater biodiversity: importance, threats, status and conservation challenges. Biological Reviews of the Cambridge Philosophical Society, 81(2), 163–82. DOI: 10.1017/S1464793105006950

Elmqvist, T., Folke, C., Nystrom, M., Peterson, G., Bengtsson, J., Walker, B., & Norberg, J. 2003. Response Diversity, Ecosystem Change, and Resilience. Frontiers in Ecology and the Environment, 1(9), 488–494. DOI: 10.2307/3868116

Fukami, T., Bezemer, T. M., Mortimer, S. R., & Van Der Putten, W. H. 2005. Species divergence and trait convergence in experimental plant community assembly. Ecology Letters, 8(12), 1283–1290. DOI: 10.1111/j.1461-0248.2005.00829.x

Giné, M. F., Bergamin F, H., Zagatto, E. A. G., & Reis, B. F. 1980. Simultaneous determination of nitrate and nitrite by flow injection analysis. Analytica Chimica Acta, 114(1), 191–197.

Golterman, H. L., Clymo, R. S., & Ohnstad, M. A. 1978. Methods for physical and chemical analysis of freshwater. 2a ed. Edinburgh, London: NP Handbook, N. 8. p. 213. DOI: https://doi.org/10.1002/iroh.19800650113

Gotelli, N. J., & Chao, A. 2013. Measuring and estimating species richness, species diversity, and biotic similarity from sampling data. In: S. A. Levin (Org.), Encyclopedia of Biodiversity. Second, Vol. 5, p. 195–211. Second ed Waltham, MA: Academic Press.

Hobbs, R. J., Arico, S., Aronson, J., Baron, J. S., Bridgewater, P., Cramer, V. A., Epstein, P. R., Ewel, J. J., Klink, C. A., Lugo, A. E., Norton, D., Ojima, D., Richardson, D. M., Sanderson, E. W., Valladares, F., Vilà, M., Zamora, R., & Zobel, M. 2006. Novel ecosystems: Theoretical and management aspects of the new ecological world order. Global Ecology and Biogeography, 15(1), 1–7. DOI: 10.1111/j.1466-822X.2006.00212.x

Hooper, D. U., Chapin, F. S., Ewel, J. J., Hector, A., Inchausti, P., Lavorel, S., Lawton, J. H., Lodge, D. M., Loreau, M., Naeem, S., Schmid, B., Setala, H., Symstad, A. J., Vandermeer, J., & Wardle, D. A. 2005. Effects of biodiversity on ecosystem functioning: a consensus of current knowledge. Ecological Monographs, 75(2005), 3–35. DOI: 10.1890/04-0922

Jackson, D. A. 1993. Stopping Rules in Principal Components Analysis: a comparison of Heuristical and Statistical approaches. Ecology, 74(8), 2204–2214. DOI: 10.2307/1939574

Jost, L. 2007. Partitioning diversity into independent alpha and beta components. Ecology, 88(10), 2427–2439. DOI: 10.1890/06-1736.1

Junk, W. J., Bayley, P. B., & Sparks, R. E. 1989. The flood pulse concept in river-floodplain systems. Canadian Special Publication of Fisheries and Aquatic Sciences, 106, 127.

Junk, W. J., Piedade, M. T. F., Lourival, R., Wittmann, F., Kandus, P., Lacerda, L. D., Bozelli, R. L., Esteves, F. A., Nunes da Cunha, C., Maltchik, L., Schöngart, J., Schaeffer-Novelli, Y., & Agostinho, A. A. 2014. Brazilian wetlands: Their definition, delineation, and classification for research, sustainable management, and protection. Aquatic Conservation: Marine and Freshwater Ecosystems, 24(1), 5–22. DOI: 10.1002/aqc.2386

Komárek, J., & Anagnostidis, K. 1989. Modern approach to the classification of cyanophytes. 4. Nostocales.Algolog. Stud. 56: p. 247-345.

Komárek, J., & Anagnostidis, K. 1998. Cyanoprokaryota. 1. Teil Chroococcales. H. Ettl G. Gärtner H. Heynig & D. Möllenhauer (Orgs.),Sübwasserflora von Mitteleuropa.Gustav Fischer Verlag: p. 548.

Komárek, J., & Anagnostidis, K. 2005. Cyanoprokaryota. 2. Teil Oscillatoriales. B. Büdel L. Krienitz G. Gärtner & M. Schagerl (Orgs.), Elsevier: p. 759.

Koroleff, K. J. H. 1976. Determination of ammonia. In: E. Grasshoff & E. Kremling (Orgs.), Methods of seawater analysis. p. 126–133. Verlag Chemie, Weinheim.

Kraft, N. J. B., Adler, P. B., Godoy, O., James, E. C., Fuller, S., & Levine, J. M. 2015. Community assembly, coexistence and the environmental filtering metaphor. Functional Ecology, 29(5), 592–599. DOI: 10.1111/1365-2435.12345

Kruk, C., Devercelli, M., Huszar, V. L. M., Hernández, E., Beamud, G., Diaz, M., Silva, L. H. S., & Segura, A. M. 2017. Classification of Reynolds phytoplankton functional groups using individual traits and machine learning techniques. Freshwater Biology, 62(10), 1681–1692. DOI: 10.1111/fwb.12968

Lansac-Tôha, F. M., Meira, B. R., Segovia, B. T., Lansac-Tôha, F. A., & Velho, L. F. M. 2016. Hydrological connectivity determining metacommunity structure of planktonic heterotrophic flagellates. Hydrobiologia, 781, 81–94. DOI: 10.1007/s10750-016-2824-5

Lees, A. C., & Peres, C. A. 2008. Conservation value of remnant riparian forest corridors of varying quality for Amazonian birds and mammals. Conservation Biology, 22(2), 439–449. DOI: 10.1111/j.1523-1739.2007.00870.x

Legendre, P., & Legendre, L. F. J. 1998. Numerical Ecology. Elsevier. 2 nd 2 nd ed Amsterdam: Elsevier Science.

Leira, M., & Cantonati, M. 2008. Effects of water-level fluctuations on lakes: An annotated bibliography. Hydrobiologia, 613, 171–184. DOI: 10.1007/s10750-008-9465-2

Litchman, E., & Klausmeier, C. 2008. Trait-Based Community Ecology of Phytoplankton. Annual Review of Ecology and Systematics, 39(1), 615–639.

Loreau, M., Naeem, S., P. Inchausti J. P. Grime, A. Hector, D. U., J. B., Hooper D. Raffaelli, B. Schmid, D. Tilman, D. A. Wardle, M. A. H., Inchausti, P., Bengtsson, J., Grime, J. P., Hector, A., Hooper, D. U., Huston, M. A., Raffaelli, D., Schmid, B., Tilman, D., & Wardle, D. A. 2001. Biodiversity and Ecosystem Functioning: Current Knowledge and Future Challenges. Science, 294(5543), 804–808. DOI: 10.1126/science.1064088

Lund, J. W. G., Kipling, C., & Le Cren, E. D. E. 1958. The inverted microscope method of estimating algal numbers and the statistical basis of estimations by counting. Hydrobiologia, 11(2), 980–985. DOI: 10.1007/BF00007865

Mittermeier, R. A., Da Fonseca, G. A. B., Rylands, A. B., & Brandon, K. 2005. A brief history of biodiversity conservation in Brazil. Conservation Biology, 19(3), 601–607. DOI: 10.1111/j.1523-1739.2005.00709.x

Mutshinda, C. M., Finkel, Z. V., Widdicombe, C. E., Irwin, A. J., & Norden, N. 2016. Ecological equivalence of species within phytoplankton functional groups. Functional Ecology, 30(10), 1714–1722. DOI: 10.1111/1365-2435.12641

Nabout, J. C., Siqueira, T., Bini, L. M., & Nogueira, I. D. S. 2009. No evidence for environmental and spatial processes in structuring phytoplankton communities. Acta Oecologica, 35(5), 720–726. DOI: 10.1016/j.actao.2009.07.002

Nilsson, C., Reidy, C. A., Dynesius, C., & Revenga, M. 2005. Fragmentation and flow regulation of the world’s large river systems. Science, 308(5720), 405–408. DOI: 10.1126/science.1107887

Olden, J. D., Poff, N. L. R., Douglas, M. R., Douglas, M. E., & Fausch, K. D. 2004. Ecological and evolutionary consequences of biotic homogenization. Trends in Ecology and Evolution, 19(1), 18–24. DOI: 10.1016/j.tree.2003.09.010

Oliveira, A. G., Baumgartner, M. T., Gomes, L. C., Dias, R. M., & Agostinho, A. A. 2018. Long-term effects of flow regulation by dams simplify fish functional diversity. Freshwater Biology, 63(3), 293–305. DOI: 10.1111/fwb.13064

Oliver, R. L., & Merrick, C. J. 2006. Partitioning of river metabolism identifies phytoplankton as a major contributor in the regulated Murray River (Australia). Freshwater Biology, 51(6), 1131–1148. DOI: 10.1111/j.1365-2427.2006.01562.x

Padisák, J., Crossetti, L. O., & Naselli-Flores, L. 2009. Use and misuse in the application of the phytoplankton functional classification: a critical review with updates. Hydrobiologia, 621(1), 1–19. DOI: 10.1007/s10750-008-9645-0

Peres-Neto, P. R., Legendre, P., Dray, S., & Borcard, D. 2006. Variation partitioning of species data metrices: estimation and comparison of fractions. Ecology, 87(10), 2614–2625. DOI: 10.2307/20069271

Petsch, D. K. 2016. Causes and consequences of biotic homogenization in freshwater ecosystems. International Review of Hydrobiology, 101(3–4), 113–122. DOI: 10.1002/iroh.201601850

Pineda, A., Peláez, Ó., Dias, J. D., Segovia, B. T., Bonecker, C. C., Velho, L. F. M., & Rodrigues, L. C. 2019. The El Niño Southern Oscillation (ENSO) is the main source of variation for the gamma diversity of plankton communities in subtropical shallow lakes. Aquatic Sciences, 81(3), 49. DOI: 10.1007/s00027-019-0646-z

Poff, N. L. 1997. Landscape filters and species traits: towards mechanistic understanding and prediction in stream ecology. Journal of the North American Benthological Society, 16(2), 391–409. DOI: 10.2307/1468026

Reynolds, C. S. 2006. The Ecology of phytoplankton. M. Usher D. Saunders R. Peet & A. Dobson (Orgs.),Ecology. New York, USA: Cambridge University Press: p. 535. DOI: http://dx.doi.org/10.1017/CBO9780511542145

Reynolds, C. S., Huszar, V., Kruk, C., Naselli-Flores, L., & Melo, S. 2002. Towards a functional classification of the freshwater phytoplankton. Journal of Plankton Research, 24(5), 417–428. DOI: 10.1093/plankt/24.5.417

Roberto, M. C., Santana, N. N. F., & Thomaz, S. M. 2009. Limnology in the Upper Paraná River floodplain: large-scale spatial and temporal patterns, and the influence of reservoirs. Brazilian Journal of Biology, 69(2), 717–725. DOI: 10.1590/S1519-69842009000300025

Rodrigues, L. C., Pivato, B. M., Vieira, L. C. G., Bovo-Scomparin, V. M., Bortolini, J. C., Pineda, A., & Train, S. 2018. Use of phytoplankton functional groups as a model of spatial and temporal patterns in reservoirs: a case study in a reservoir of central Brazil. Hydrobiologia, 805(1), 147–161. DOI: 10.1007/s10750-017-3289-x

Rodrigues, L. C., Simões, N. R., Bovo-scomparin, V. M. V. M., Jati, S., Santana, N. F., Roberto, M. C., & Train, S. 2015. Phytoplankton alpha diversity as an indicator of environmental changes in a neotropical floodplain. Ecological Indicators, 48(1), 334–341. DOI: 10.1016/j.ecolind.2014.08.009

Shahabuddin, G., & Rao, M. 2010. Do community-conserved areas effectively conserve biological diversity? Global insights and the Indian context. Biological Conservation, 143(12), 2926–2936. DOI: 10.1016/j.biocon.2010.04.040

Simões, N. R., Lansac-Tôha, F. A., Velho, L. F. M., & Bonecker, C. C. 2012. Intra and inter-annual structure of zooplankton communities in floodplain lakes: a long-term ecological research study. Revista de Biologia Tropical, 60(4), 1819–1836.

Souza-Filho, E. . 2009. Evaluation of the Upper Paraná River discharge controlled by reservoirs. Brazilian journal of Biology, 69(2), 707–716.

Souza-Filho, E. E., Rocha, P. C., Comunello, E., & Stevaux, J. C. 2004. Effects of the Porto Primavera Dam on physical environment of the downstream floodplain. In: S. M. . Thomaz, A. . Agostinho, & N. S. Hanh (Orgs.), The upper Paraná river and its floodplain: physical aspects, ecology and conservation. p. 55–74. Leiden: Backhuys Pubblishers.

Stanford, J. A., & Ward, J. V. 2001. Revisiting the serial discontinuity concept. Regulated Rivers-Research & Management, 17(4–5), 303–310. DOI: Doi 10.1002/Rrr.659.Abs

Sun, J., & Liu, D. 2003. Geometric models for calculating cell biovolume and surface area for phytoplankton. Journal of Plankton Research, 25(11), 1331–1346. DOI: 10.1093/plankt/fbg096

Thomaz, S. M., Bini, L. M., & Bozelli, R. L. 2007. Floods increase similarity among aquatic habitats in river-floodplain systems. Hydrobiologia, 579(1), 1–13. DOI: 10.1007/s10750-006-0285-y

Thomaz, S. M., Mormul, R. P., & Michelan, T. S. 2014. Propagule pressure, invasibility of freshwater ecosystems by macrophytes and their ecological impacts: a review of tropical freshwater ecosystems. Hydrobiologia, 746, 39–59. DOI: 10.1007/s10750-014-2044-9

Thomaz, S. M., Pagioro, T. A., Bini, L. M., Roberto, M. C., & Rocha, R. R. A. 2004. Limnological characterization of the aquatic environments and the influence of hydrometric levels. In: S. M. Thomaz, A. A. Agostinho, & N. S. Hahn (Orgs.), The Upper Paraná River and its floodplain: physical aspects, ecology and conservation. p. 75–102. Leiden: Backhuys Pubblishers.

Thoms, M. C., Southwell, M., & McGinness, H. M. 2005. Floodplain-river ecosystems: Fragmentation and water resources development. Geomorphology, 71, 126–138. DOI: 10.1016/j.geomorph.2004.10.011

Tilman, D. 1996. Biodiversity: population versus ecosystem stability. Ecology, 77(2), 350–363.

Tockner, K., & Stanford, J. a. 2002. Riverine flood plains: present state and future trends. Environmental Conservation, 29(3), 308–330. DOI: 10.1017/S037689290200022X

Train, S., & Rodrigues, L. C. 1998. Temporal fluctuations of the phytoplankton community of the Baía River , in the upper Paraná River floodplain , Mato Grosso do Sul , Brazil. Hydrobiologia, 361(Figure 1), 125–134.

Utermöhl, H. 1958. Zur Vervollkommnung der quantitativen Phytoplankton-Methodik. Mitteilungen der Internationalen Vereinigung für Theoretische und Angewandte Limnologie, 9(1), 1–38.

van den Hoeck, C., Mann, D. G., & Jahns, H. M. 1995. Algae: an introduction to phycology. Cambridge, UK: Cambridge University Press.

Walker, B., Kinzig, A., Langridge, J., Walker, B., Kinzig, A., & Langridgel, J. 1999. Plant attribute diversity, resilience, and ecosystem function: the nature and significance of dominant and minor species. Ecosystems, 2(2), 95–113. DOI: 10.1007/s100219900062

Ward, J. V, Tockner, K., & Schiemer, F. 1999. Biodiversity of floodplain river ecosystems: ecotones and connectivity. Regulated Rivers: Research & Management, 15(1–3), 125–139. DOI: 10.1002/(SICI)1099-1646(199901/06)15:1/3<125::AID-RRR523>3.0.CO;2-E

Winemiller, K. O., McIntyre, P. B., Castello, L., Fluet-Chouinard, E., Giarrizzo, T., Nam, S., Baird, I. G., Darwall, W., Lujan, N. K., Harrison, I., Stiassny, M. L. J., Silvano, R. A. M., Fitzgerald, D. B., Pelicice, F. M., Agostinho, A. A., Gomes, L. C., Albert, J. S., Baran, E., Petrere, M., Zarfl, C., Mulligan, M., Sullivan, J. P., Arantes, C. C., Sousa, L. M., Koning, A. A., Hoeinghaus, D. J., Sabaj, M., Lundberg, J. G., Armbruster, J., Thieme, M. L., Petry, P., Zuanon, J., Vilara, G. T., Snoeks, J., Ou, C., Rainboth, W., Pavanelli, C. S., Akama, A., van Soesbergen, A., & Saenz, L. 2016. Balancing hydropower and biodiversity in the Amazon, Congo, and Mekong. Science, 351(6269), 128–129. DOI: 10.1126/science.aac7082

Downloads

Published

2020-06-15