LEAF LITTER WITH CONTRASTING CHEMICAL TRAITS AND DECOMPOSITION PROMOTE SIMILAR BENTHIC MACROINVERTEBRATES COMMUNITIES

Authors

  • Marcos Paulo Maia-Jorge Laboratório Integrado de Ecologia Aquática, Instituto de Biodiversidade e Sustentabilidade, Universidade Federal do Rio de Janeiro (NUPEM-UFRJ) Laboratório de Limnologia, Universidade Federal do Rio de Janeiro (UFRJ) https://orcid.org/0000-0001-8225-0203
  • Maria Silvina Bevilacqua Laboratório Integrado de Ecologia Aquática, Instituto de Biodiversidade e Sustentabilidade, Universidade Federal do Rio de Janeiro (NUPEM-UFRJ) https://orcid.org/0000-0001-7420-0089
  • Anderson da Rocha Gripp Laboratório Integrado de Ecologia Aquática, Instituto de Biodiversidade e Sustentabilidade, Universidade Federal do Rio de Janeiro (NUPEM-UFRJ) Laboratório de Limnologia, Universidade Federal do Rio de Janeiro (UFRJ) http://orcid.org/0000-0002-0099-6990
  • Adriano Caliman Laboratório de Processos Ecológicos e Biodiversidade, Universidade Federal do Rio Grande do Norte (UFRN) https://orcid.org/0000-0001-9218-5601
  • Rafael Dettogni Guariento Laboratório de Ecologia, Instituto de Biociências, Universidade Federal do Mato Grosso do Sul (UFMS) https://orcid.org/0000-0003-2035-2030
  • Marcos Paulo Figueiredo-Barros Laboratório Integrado de Ecologia Aquática, Instituto de Biodiversidade e Sustentabilidade, Universidade Federal do Rio de Janeiro (NUPEM-UFRJ) http://orcid.org/0000-0003-1603-3395
  • José Francisco Gonçalves Junior Laboratório de Limnologia, Universidade de Brasília (UnB) http://orcid.org/0000-0001-8191-2113
  • André Tavares Corrêa Dias Laboratório de Ecologia Vegetal, Universidade Federal do Rio de Janeiro (UFRJ) https://orcid.org/0000-0001-8847-5753
  • Reinaldo Luiz Bozelli Laboratório de Limnologia, Universidade Federal do Rio de Janeiro (UFRJ) https://orcid.org/0000-0001-9916-1629
  • Francisco de Assis Esteves Laboratório Integrado de Ecologia Aquática, Instituto de Biodiversidade e Sustentabilidade, Universidade Federal do Rio de Janeiro (NUPEM-UFRJ) Laboratório de Limnologia, Universidade Federal do Rio de Janeiro (UFRJ)

Keywords:

litterbags, invertebrates, colonization, coastal lagoon, restinga

Abstract

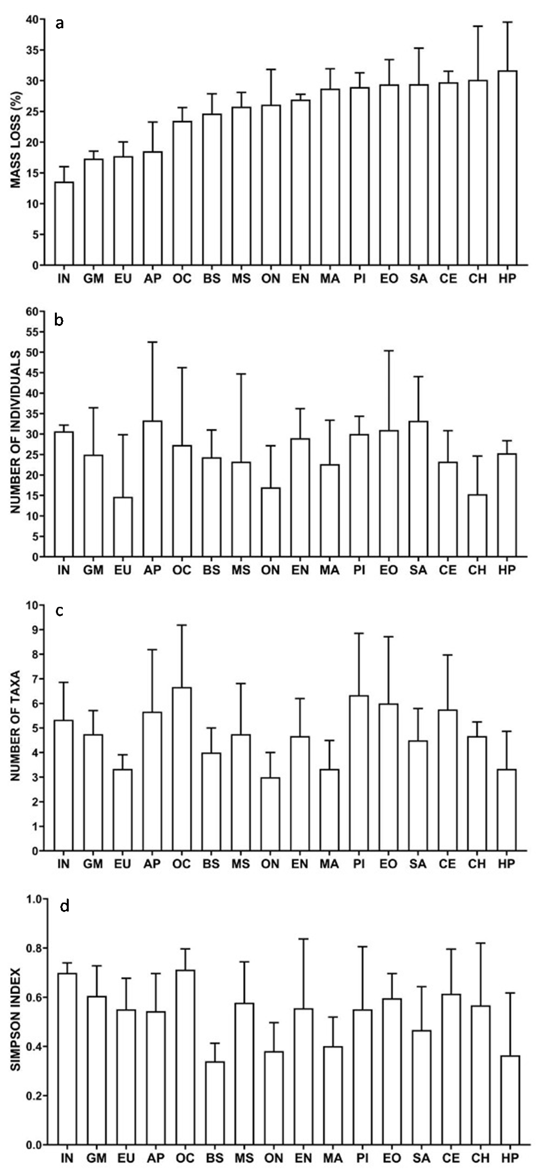
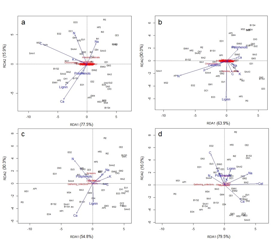
In aquatic ecosystems, allochthonous inputs of leaf litter are common substrates for the invertebrates communities. The quality and physical structure of these substrates are expected to strongly determine benthic invertebrates structure and functioning. Therefore, we carried out an experiment to evaluate the association between these organisms and the chemical traits of leaf litter from 16 restinga plant species in Jurubatiba lagoon, a coastal aquatic ecosystem at Restinga de Jurubatiba National Park. After 123 days, litter mass loss varied from 14 - 30%, indicating that decomposition was in the initial stage for most species. Litter converged to have a similar nutritional quality after this time submerged. Initial K concentration positively affected, whereas initial lignin and C concentration negatively affected species richness and diversity. It indicates that nutrients attract whereas structural compounds limit benthic species colonization. Chemical compounds such as C, nutrients (N, P, K and Na), lignin and cellulose tended to be positively associated with the dominant taxa (Chironominae n.i. and Heleobia australis) and functional feeding groups (scrapers and collector-gatherers). However, no significant associations were detected by the redundancy analyses. We may conclude that litter quality affect benthic structure, but not community composition nor FFG distribution at Jurubatiba lagoon. The benthic composition and FFG may be randomly distributed among litter substrates or may be better explained by some other litter aspect(s) different from those considered in this study. Future studies may also consider the temporal dynamic of litter colonization to better elucidate the relationship between litter traits and invertebrate community.

Downloads

Download data is not yet available.

References

Abelho, M. 2009. From Litterfall to Breakdown in Streams: A Review. Review Article. The Scientific World 1, 656–680. DOI: 10.1100/tsw.2001.103

Abril, M., Muñoz, I., Casas-Ruiz, J. P., Gómez-Gener, L., Barceló, M., Oliva, F., & Menéndez, M. 2015. Effects of water flow regulation on ecosystem functioning in a Mediterranean river network assessed by wood decomposition. Science of the Total Environment, 517, 57-65. DOI: 10.1016/j.scitotenv.2015.02.015

Alvares, C. A., Stape, J. L., Sentelhas, P. C., de Moraes, G., Leonardo, J., & Sparovek, G. 2013. Koppen’s climate classification map for Brazil. Meteorologische Zeitschrift, 22(6), 711–728. DOI: 10.1127/0941-2948/2013/0507

Anbalagan, S., Rameshkumar, N., Balachandran, C., Arun prasanna, V., Dinakaran, S., & Krishnan, M. 2009. Leaf litter decompositional pattern in a tropical lake of South India. Biolife, 2(3): 900-904.

Brum, P. R. & F. A. Esteves, 2001a. Changes in abundance and biomass of the attached bacterial community throughout the decomposition of three species of aquatic macrophytes. Oecologia Brasiliensis 9: 77–96.

Brum, P. R. & F. A. Esteves, 2001b. Dry weight loss and chemical changes in the detritus of three tropical aquatic macrophyte species (Eleocharis interstincta, Nymphea ampla and Potamogeton stenostachys) during decomposition. Acta Limnologica Brasiliensis 13(1): 61–73.

Caliman, A, Carneiro, L. S., Leal, J. J. F., Farjalla, V. F., Bozelli, R. L., & Esteves, F. A. 2012. Community Biomass and Bottom up Multivariate Nutrient Complementarity Mediate the Effects of Bioturbator Diversity on Pelagic Production. PLoS ONE 7(9): e44925. DOI: 10.1371/journal.pone.0044925

Castanho, C. T., & Oliveira, A. A. 2008. Relative effect of litter quality, forest type and their interaction on leaf decomposition in south-east Brazilian forests. Journal of Tropical Ecology, 24:149–156. DOI: 10.1017/S0266467407004749

Chellaiah, D. & Yule, C. M. 2018. Litter decomposition is driven by microbes and is more influenced by litter quality than environmental conditions in oil palm streams with different riparian types. Aquatic Sciences, 80 (43): 1-11. DOI: 10.1007/s00027-018-0595-y

Cornwell, W. K., Schwilk, D. W., & Ackerly, D. D. 2006. A trait‐based test for habitat filtering: convex hull volume. Ecology, 87 (6), 1465-1471. DOI: 10.1890/0012-9658(2006)87[1465:ATTFHF]2.0.CO;2

Cummins, K. W. 1974. Structure and function of stream ecosystems. Bioscience 24. pp. 631-641.

Dangles, O., Guerold, F., Usseglio-Polatera, P. 2001. Role of transported particulate organic matter in the macroinvertebrate colonization of litter bags in streams. Freshwater Biology, 46 (5), 575-586. DOI: 10.1046/j.1365-2427.2001.00693.x

Ferreira, V., Encalada A. C., & Graça, M. A. 2012. Effects of litter diversity on decomposition and biological colonization of submerged litter in temperate and tropical streams. Freshwater Science 31, 945-962. DOI: 10.1899/11-062.1

Figueiredo-Barros, M. P., Leal, J. J. F., Esteves, F. A., Rocha, A. M., & Bozelli, R. L. 2006. Life cycle, secondary production and nutrient stock in Heleobia australis (d’Orbigny 1835) (Gastropoda: Hydrobiidae) in a tropical coastal lagoon. Estuarine, Coastal and Shelf Science, 69(1-2), 87–95. DOI: 10.1016/j.ecss.2006.03.023

Gessner, M., Gulis, V., Kuehn, K., Chauvet, E., & Suberkropp, K. 2007. Fungal decomposers of plant litter in aquatic ecosystems. In C. Kubicek & I. Druzhinina. The mycota, volume IV: Microbial and environmental relationships. Berlin: Springe: p. 301–324.

García‐Palacios, P., Shaw, E. A., Wall, D. H., & Hättenschwiler, S. 2016. Temporal dynamics of biotic and abiotic drivers of litter decomposition. Ecology letters 19: 554-563. DOI: 10.1111/ele.12590

Gonçalves Jr, J. F., Santos, A. M., & Esteves, F. A. 2004. The influence of the chemical composition of Typha domingensis and Nymphaea ampla detritus on invertebrate colonization during decomposition in a Brazilian coastal lagoon. Hydrobiologia 527: 125–137. DOI: 10.1023/B:HYDR.0000043190.49651.dc

Gonçalves Jr, J. F., Graça, M., Callisto, M. 2007. Litter decomposition in a Cerrado savannah stream is retarded by leaf toughness, low dissolved nutrients and a low density of shredders. Freshwater Biology, Manaus: Editora INPA. 52: p. 1440-1451.

Gonçalves Jr, J. F., Rezende, R. S., França, J., & Callisto, M. 2012. Invertebrate colonisation during leaf processing of native, exotic and artificial detritus in a tropical stream. Marine and Freshwater Research, 63, 428-439. DOI: 10.1071/MF11172

Gonçalves Jr, J. F., Martins, R. T., Ottoni, B. M. P., & Couceiro, S. R. M. 2014. Uma visão sobre a decomposição foliar em sistemas aquáticos brasileiros. In: Hamada, N., Nessimian, J. L., Querino, R. B. (Org.). Insetos Aquáticos na Amazônia Brasileira: taxonomia, biologia e ecologia. 1ed.Manaus: Editora do INPA, 2014, v. I, p. 89-116.

Graça, M. A. S., Barlocher, M., & Gessner, M. O. 2005. Methods to Study Litter Decomposition – A Practical Guide. Springer. p. 314.

Gripp, A. R. 2018. Efeitos da diversidade de detritos sobre a sua decomposição: Importância de características dinâmicas do contexto ambiental, da fenologia das espécies e da estrutura da comunidade. Tese de doutorado. Programa de Pós-Graduação em Ecologia - Universidade Federal do Rio de Janeiro, Rio de Janeiro. p. 163.

Gripp, A. R., Esteves, F. A., Carneiro, L. S., Guariento, R. D., Figueiredo-Barros, M. P., Coq, S., Milcu, A., & Caliman, A. 2018. Weak to no effects of litter biomass and mixing on litter decomposition in a seasonally dry tropical forest. Pedobiologia, 68, 20 – 23. DOI: 10.1016/j.pedobi.2018.02.003

Hamada, N., Nessimian, J. L., & Querino, R. B. 2014. Insetos aquáticos na Amazônia Brasileira: taxonomia, biologia e ecologia. Manaus: INPA: p 724.

Hepp, L. U., Biasi, C., Milesi, S. V., Veiga, F. O., & Restello, R. M. 2008. Chironomidae (Diptera) larvae associated to Eucalyptus globulus and Eugenia uniflora leaf litter in a subtropical stream (Rio Grande do Sul, Brazil). Acta Limnologica Brasiliensia, 20(4), 345-350.

Hutchinson, G. E. 1993. A Treatise on Limnology. Vol. 4. The Zoobenthos. New York: John Wiley & Sons.

Irons, J. G., M. W. Oswood, R. J. Stout & C. M. Pringle, 1994. Latitudinal patterns in leaf litter breakdown: is temperature really important? Freshwater Biology 32: 401–411.

Jacobsen, D., Cressa, C., Mathooko, J. M., & Dudgeon, D. 2008. Macroinvertebrates: Composition, Life Histories and Production. In Dudgeon, D. Tropical Stream Ecology. 65–105. DOI: 10.1016/b978-012088449-0.50006-6.

Janke, H., & Trivinho-Strixino, S. 2007. Colonization of leaf litter by aquatic macroinvertebrates: a study in a low order tropical stream. Acta Limnologica Brasiliensia, 19(1), 109-115.

König, R., Hepp, L. U., & Santos, S. 2014. Colonisation of low- and high-quality detritus by benthic macroinvertebrates during leaf breakdown in a subtropical stream. Limnologica - Ecology and Management of Inland Waters, 45(7), 61–68. DOI: 10.1016/j.limno.2013.11.001.

Kuehn, K. A. 2016. Lentic and lotic habitats as templets for fungal communities: traits, adaptations, and their significance to litter decomposition within freshwater ecosystems. Fungal Ecology, 19, 135-154. DOI: 10.1016/j.funeco.2015.09.009

Marinho, C. C., Meirelles-Pereira, F., Gripp, A. R., Guimarães, C. C., Esteves, F. A., & Bozelli, R. L. 2010. Aquatic macrophytes drive sediment stoichiometry and the suspended particulate organic carbon composition of a tropical coastal lagoon. Acta Limnologica Brasiliensia, 22(02), 208–217. DOI: 10.4322/actalb.02202010

Martínez, A., Monroy, S., Pérez, J., Larrañaga, A., Basaguren, A., Molinero, J., & Pozo, J. 2016. In-stream litter decomposition along an altitudinal gradient: does substrate quality matter? Hydrobiologia. 766, 17–28. DOI: 10.1007/s10750-015-2432-9

Molnar, P., Burlando, P., & Ruf, W. 2002. Integrated catchment assessment of riverine landscape dynamics. Aquatic Sciences, 64(2), 129-140. DOI: 10.1007/s00027-002-8061-1

Moretti, M. S., Gonçalves Jr, J. F., Ligeiro, R., & Callisto, M. 2007. Invertebrates colonization on native tree leaves in a neotropical stream (Brazil). International Review of Hydrobiology, 92(2), 199-210. DOI: 10.1002/iroh.200510957

Moulton, T. P., Andrade, C. M., Neres-Lima, V. 2019. The outcome of an exclusion experiment depends on the method: shrimps, shredders and leaf breakdown in a tropical stream. Freshwater Science, 38(1), 131-141. DOI: 10.1086/701771

Mugnai, R., Nessimian, J. L., & Baptista, D. F. 2010. Manual de identificação de macroinvertebrados aquáticos do Estado do Rio de Janeiro. Rio de Janeiro: Technical Books: p. 176.

Neres-Lima, V., Machado-Silva, F., Baptista, D. F., Oliveira, R., Andrade, P. M., Oliveira, A. F., Sasada-Sato, C. Y., Silva-Junior, E. F., Feijó-Lima, R., Angelini, R., Camargo, P. B., and Moulton, T. P. 2017. Allochthonous and autochthonous carbon flows in food webs of tropical forest streams. Freshwater Biology 62, 1012–1023. DOI: 10.1111/fwb.12921.

Ono, E. R. 2018. Efeito da remoção da mata ciliar na estrutura de grupos de alimentação funcional em assembléias de macroinvertebrados bentônicos. Dissertação de mestrado. Instituto de Biociências da Universidade Estadual Paulista - UNESP. p. 45. http://hdl.handle.net/11449/153196

Parmigiani, R. 2018. Diversidade funcional ao longo de um gradiente de estresse: um estudo de caso na restinga. Dissertação de Mestrado, Instituto de Biociências, Universidade de São Paulo, São Paulo. DOI: 10.11606/D.41.2018.tde-23102018-141149.

Parsons, S. A., Congdon, R. A., & Lawler, I. R. 2014. Determinants of the pathways of litter chemical decomposition in a tropical region. New Phytologist, 203(3), 873–882. DOI: 10.1111/nph.12852

Piedras, S. R. N., Bager, A., Moraes, P. R. R., Isoldi, L. A., Ferreira, O. G. L., & Heemann, C. 2006. Macroinvertebrados bentônicos como indicadores de qualidade de água na Barragem Santa Bárbara, Pelotas, RS, Brasil. Ciência Rural, 36(2), 494-500. DOI: 10.1590/S0103-84782006000200020.R

Poorter, L., Van de Plassche, M., Willems, S., & Boot, R. G. A. 2004. Leaf traits and herbivory rates of tropical tree species differing in successional status. Plant biology, 6(06), 746-754.

R Core Team. 2021. R: A language and environment for statistical computing. R Foundation for Statistical Computing, Vienna, Austria.

Rezende, R. S., Biasi, C., Hepp, L. U., Petrucio, M. M., & Gonçalves Jr, J. F. 2019. Effects of leaf litter traits on alpha and beta diversities of invertebrate assemblages in a tropical watershed. Ecología Austral (en línea), v. 29, p. 365-379.

Rodrigues, L.& Bicudo, D. C. 2001. Similarity among periphyton algal communities in a lentic-lotic gradient of the upper Paraná river floodplain, Brazil. Brazilian Journal of Botany [online], 24(3), 235-248. DOI: 10.1590/S0100-84042001000300001

Sampaio, A., Rodríguez-González, P., Varandas, S., Cortes, R. M., & Ferreira, M. T. 2008. Leaf litter decomposition in western Iberian forested wetlands: lentic versus lotic response. Limnetica, 27, 93-106. DOI: 10.23818/limn.27.08

Sarker, T. C., Maisto, G., De Marco, A., Esposito, F., Panico, S. C., Alam, M. F., Mazzoleni, S., & Bonanomi, G. 2018. Explaining trajectories of chemical changes during decomposition of tropical litter by 13 C-CPMAS NMR, proximate and nutrients analysis. Plant and Soil, 1-16.

Silveira, M. P., Buss, D. F., Nessimian, J. L., & Baptista, D. F. 2006. Spatial and temporal distribution of benthic macroinvertebrates in a Southeastern Brazilian river. Brazilian Journal of Biology. vol.66(2b). DOI: 10.1590/S1519-69842006000400006

Van Looy, K., Tonkin, J. D., Floury, M., Leigh, C., Soininen, J., Larsen, S., Heino, J., LeRoy Poff, N., Delong, M., Jähnig, S. C., Datry, T., Bonada, N., Rosebery, J., Jamoneau, A., Ormerod, S. J., Collier, K. J., & Wolter, C. 2019. The three Rs of river ecosystem resilience: Resources, recruitment, and refugia. River Research and Applications, 35(2), 107-120. DOI: 10.1002/rra.3396

Villéger, S., Mason, N. W., & Mouillot, D. 2008. New multidimensional functional diversity indices for a multifaceted framework in functional ecology. Ecology, 89(8), 2290-2301.

Villela, D. M., da Silva, A. P., Bonadiman, G. S. L., da Silva, A. D. S., & de Souza, R. P. 2020. Clusia hilariana a key species on nutrient cycling in sand dune vegetation thickets. Oecologia australis, 24(2), 420–437.

Wainhouse, D., Cross, D. J., Howell, R. S. 1990. The role of lignin as a defence against the spruce bark beetle Dendroctonus micans: effect on larvae and adults. Oecologia, 85, 257-265.

Wetzel, R. G. 2001. Structure and productivity of aquatic ecosystems. In Wetzel, RG. (ed.) Limnology: Lake and River Ecosystems. pp. 129-150. San Diego: Third E. Academic Press.

Wieder, W. R. & Cleveland, C. C. 2009. Controls over leaf litter decomposition in wet tropical forests. Ecology, 90(12), 3333–3341. DOI: 10.1890/08-2294.1

Yule, C. M., & Gomez, L. N. 2009. Leaf litter decomposition in a tropical peat swamp forest in Peninsular Malaysia. Wetlands Ecology and Management, 17, 231–241. DOI: 10.1007/s11273-008-9103-9

Published

2022-07-08