ESTRUTURA DAS ASSEMBLÉIAS DE CLADÓCEROS EM RESERVATÓRIOS NOS ESTADOS DE SÃO PAULO E PARANÁ: GRADIENTES ESPACIAIS E GRAU DE TROFIA
Keywords:
Cladóceros, reservatórios, riqueza, diversidade beta, abundânciaAbstract
CLADOCERAN ASSEMBLAGE STRUCTURE IN RESERVOIRS IN SOUTHERN AND SOUTHEASTERN BRAZIL. This study evaluated spatial and temporal variations of cladocerans' richness of species, beta diversity and abundance in reservoirs in the southern and southeastern Brazil. It assumed that the richness of species and abundance of cladocerans were at their highest levels in the transitional regions, especially in the eutrophic reservoirs, while the beta diversity and species dominance would be at their lowest level in this region and reservoirs. Cladoceran communities were sampled quarterly on the sub-surface, in the mixing zone and in the deepest layer of the water column, in three regions (fluvial, transition and lacustrine) of six reservoirs with different trophic levels (oligo to eutrophic) and during rainy and dry periods of 2002. The highest levels of richness of species were recorded both in an oligotrophic and a eutrophic reservoir; a great variation of this attribute was also recorded in the last one. On the other hand, the lowest average specific richness of species was observed in another oligotrophic reservoir, as well as a great variation on the number of species. The highest average values of beta diversity were in transitional regions of a mesotrophic reservoir and an oligotrophic reservoir. However, the largest variation was observed in the fluvial regions of a eutrophic reservoir. As for cladocerans' abundance, the highest values were found in eutrophic reservoirs while there were fewer organisms in oligotrophic reservoirs. Thus, the relationship between abundance and the reservoir's trophic levels was significant. The results do not support the hypothesis. However, it's suggested that the reservoirs' hydrodynamic highlighted by differences in the water stream's speed and flow due to the management of this environment were the predominant factors in the cladocerans species diversity (specific richness of species and changes in the species composition). The abundance of these microcrustaceans was also influenced by the reservoirs' hydrodynamics, by the amount of available food (phytoplankton biomass) and the trophic level of each reservoir.
Keywords: Cladocerans; reservoirs; richness; beta diversity; abundance.
Downloads
Downloads
Additional Files
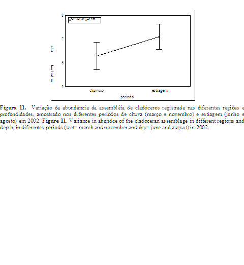
- OA_Santos&Bonecker_cladocerans[1]_Figura11 (Português (Brasil))
- OA_Santos&Bonecker_cladocerans[1]_Figura10 (Português (Brasil))
- OA_Santos&Bonecker_cladocerans[1]_Figura09 (Português (Brasil))
- OA_Santos&Bonecker_cladocerans[1]_Figura8 (Português (Brasil))
- OA_Santos&Bonecker_cladocerans[1]_Figura07 (Português (Brasil))
- OA_Santos&Bonecker_cladocerans[1]_Figura05 (Português (Brasil))
- OA_Santos&Bonecker_cladocerans[1]_Figura5 (Português (Brasil))
- OA_Santos&Bonecker_cladocerans[1]_Figura4 (Português (Brasil))
- OA_Santos&Bonecker_cladocerans[1]_Figura3 (Português (Brasil))
- OA_Santos&Bonecker_cladocerans[1]_Figura02 (Português (Brasil))
- OA_Santos&Bonecker_cladocerans[1]_Figura1 (Português (Brasil))
- TAbelas (Português (Brasil))
- Carta de Submissão (Português (Brasil))
- Indicação dos editores para analise (Português (Brasil))