MACROPHYTE STRUCTURE IN LOTIC-LENTIC HABITATS FROM BRAZILIAN PANTANAL

Authors

  • Gisele Catian Universidade Federal do Mato Grosso do Sul
  • Flávia Maria Leme Universidade Federal do Mato Grosso do Sul
  • Augusto Francener Instituto de Botânica, IBT
  • Fábia Silva de Carvalho Universidade Federal do Mato Grosso do Sul
  • Arnildo Pott Universidade Federal do Mato Grosso do Sul
  • Vali Joana Pott Universidade Federal do Mato Grosso do Sul
  • Edna Scremin Dias Universidade Federal do Mato Grosso do Sul
  • Geraldo Alves Damasceno Junior Universidade Federal do Mato Grosso do Sul
  • Vitor Simão Galletti Universidade Federal do Mato Grosso do Sul

Keywords:

anabranch, floating meadow, lake, vegetation structure, wild-rice.

Abstract

 

The goal of this study was to compare the vegetation structure of macrophytes in an anabranch-lake

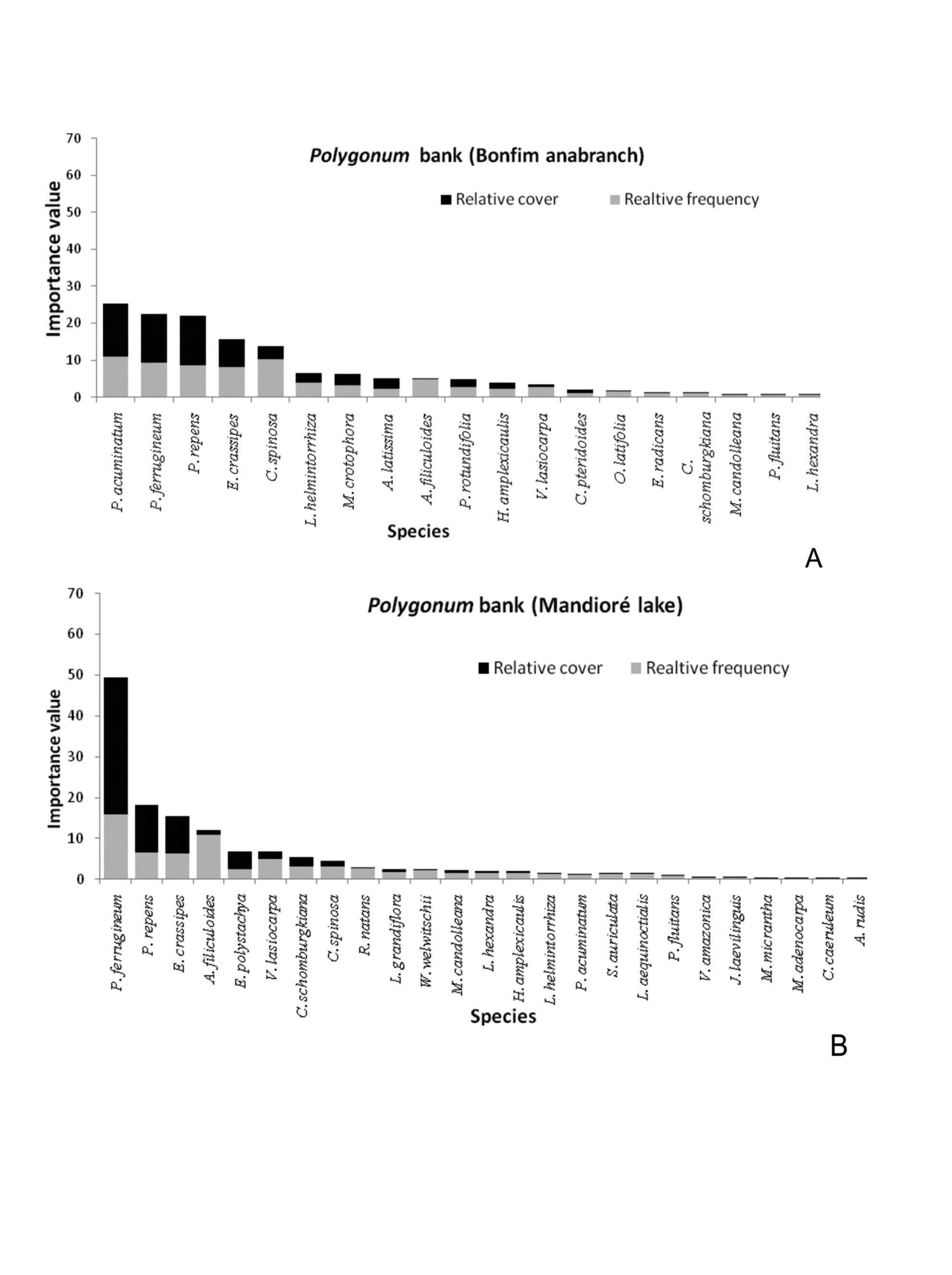
system. Sampling was carried out at flood in three types of aquatic vegetation, (wild-rice, floating meadow and Polygonumbank) in anabranch Bonfim (lotic) and in lake Mandioré (lentic) in plots along transects, to estimate the percent coverage and record life forms of species. We collected 59 species in 50 genera and 28 families. Fabaceae and Poaceae were the most representative and emergent plants predominated (62%). In the anabranch, with 48 species, Polygonum acuminatum and Paspalum repens (7%) were more frequent (8%); in the lake, with 39 species, the most frequent were Polygonum ferrugineum (7%) and Hymenachne amplexicaulis (9%). Both evaluated ecosystems have low floristic similarity (66.6%), which was repeated among the communities analyzed by environment: wild-rice (0.33%), Polygonumbanks (0.37%); floating meadows (0.32%). The anabranch was richer and more diverse than the lake; wild-rice community was the most diverse compared to other ones in anabranch, while in the lake the Polygonum bank community was the most diverse. The life forms of species varied in relation to the environments (lotic and lentic) studied.

 

Downloads

Download data is not yet available.

Author Biographies

Gisele Catian, Universidade Federal do Mato Grosso do Sul

Graduada em Ciências Biológicas (Bacharelado) pela Universidade Federal da Grande Dourados - UFGD (2003-2007). Bolsista de iniciação científica durante os anos de 2006-2007 e 2007-2008 (CNPq). Mestre pelo Programa de Pós-Graduação em Biologia Vegetal na Universidade Federal de Mato Grosso do Sul - UFMS (2008-2010). Bolsista do CNPq durante os anos de 2009-2010. Doutoranda no Programa Ecologia e Conservação da Universidade Federal de Mato Grosso do Sul - UFMS.  

Flávia Maria Leme, Universidade Federal do Mato Grosso do Sul

Graduada em Ciências Biológicas - Licenciada pela Universidade Federal de Mato Grosso do Sul, Aquidauana- MS. Mestre em Biologia Vegetal pela Universidade Federal de Mato Grosso do Sul, Campo Grande- MS.

Augusto Francener, Instituto de Botânica, IBT

Possui graduação em Biologia pela Universidade Federal de Goiás (UFG), mestrado em Biologia Vegetal pela Universidade Federal de Mato Grosso do Sul (UFMS), Tem experiência na área de Botânica, com ênfase em Taxonomia de Fanerógamas (Malpighiaceae) e Fitossociologia. Concluiu o Programa de PIBIC com Família Orchidaceae (2006-2007) e Malpighiaceae (2007-2008) da Serra dos Pireneus em Goiás e prestou serviços a Empresa Anglo American Ltda., realizando estudo fitossociológico de herbáceas na comparação de áreas com alto e baixo teor de níquel (2007-2008). No mestrado trabalhou com a florística do gênero Tetrapterys (Malpighiaceae) para o Centro-Oeste brasileiro (2009-2011). Atualmente está no Programa de Doutorado de Biodiversidade Vegetal e Meio Ambiente do Instituto de Botânica de São Paulo, trabalhando com a taxonômia do gênero Byrsonima (Malpighiaceae).

Fábia Silva de Carvalho, Universidade Federal do Mato Grosso do Sul

Possui graduação em Biologia pela Universidade Federal de Mato Grosso do Sul (2008). Tem experiência na área de Botânica, com ênfase em Botânica. Mestranda em Biologia Vegetal pelo Programa de Pós-graduação em Biologia Vegetal da Universidade Federal de Mato Grosso do Sul, campus Campo Grande.

Arnildo Pott, Universidade Federal do Mato Grosso do Sul

Possui graduação em Agronomia (1971) e mestrado em Fitotecnia (1974) pela Universidade Federal do Rio Grande do Sul, doutorado em Pasture Science (Ecologia Vegetal) na University of Queensland (1979) e Pós-doc no Royal Botanic Garden Edinburgh (1997). Foi docente na UFRGS de 1972 a 1980. Foi pesquisador da Embrapa de 1980 a 2008. Tem experiência na área de Botânica, com ênfase em Fitogeografia, Ecologia e Florística de Pantanal, Cerrado, Chaco brasileiro, plantas daninhas e pastagens naturais. Foi Professor colaborador (2004-2007), Professor Visitante (2008-2010), e atualmente é Professor Visitante Nacional Sênior, Bolsista da CAPES, nos Programas de Pós-Graduação em Geografia (Campus Três Lagoas) e de Biologia Vegetal da Universidade Federal de Mato Grosso do Sul.

Vali Joana Pott, Universidade Federal do Mato Grosso do Sul

possui graduação em História Natural pela Pontifícia Universidade Católica do Rio Grande do Sul (1975) e mestrado em Botânica - Setor de Ciências Biológicas da UFPR (1993). Pesquisadora aposentada da Embrapa desde abril de 2008. Atualmente é Assistene de Projetos e trabalha no Herbário CGMS da Universidade Federal de Mato Grosso do Sul, em Campo Grande. Tem experiência na área de Botânica, com ênfase em Taxonomia de Fanerógamos, atuando principalmente nos seguintes temas: Flora, Pantanal, Florística, Plantas Aquaticas especialmente Araceae Lemnoideae (Lemnaceae) e Veredas.

Edna Scremin Dias, Universidade Federal do Mato Grosso do Sul

É Bióloga, Licenciada em Ciências Biológicas pela Universidade Estadual de Maringá (1983), mestrado em Botânica pela Universidade Federal do Paraná (1992) e doutorado em Ciências Biológicas (Botânica) pela Universidade de São Paulo (2000). Ingressou no magistério superior em 1985 e atualmente é professora adjunta da Universidade Federal de Mato Grosso do Sul. Sua principal linha de pesquisa é Anatomia Ecológica de Plantas Aquáticas - Pantanal e Bonito, com foco nas adaptações morfológicas e anatômicas, mas também subsidiando a conservação de ambientes aquáticos e áreas úmidas. Outra linha são os trabalhos com plantas medicinais, principalmente espécies morfologicamente semelhantes utilizadas pela medicina popular, visando subsidiar o controle de qualidade das plantas comercializadas. Na área de conservação da biodiversidade, tem trabalhado em remanescentes de vegetação, subsidiando os trabalhos de marcação de matrizes e estabelecimento dos parâmetros técnicos das sementes e mudas, na Rede de Sementes do Pantanal (foi coordenadora do Projeto financiado pelo FNMA/MMA), e em áreas exploradas pelo ecoturismo em rios de Bonito.

Geraldo Alves Damasceno Junior, Universidade Federal do Mato Grosso do Sul

Possui graduação em Ciências Biológicas pela Universidade Federal de Mato Grosso do Sul (1987), mestrado (1997) e doutorado (2005) em Biologia Vegetal pela Universidade Estadual de Campinas. Atualmente é professor da Universidade Federal de Mato Grosso do Sul. Tem experiência na área de Botânica, com ênfase em fitogeografia, florística e fitossociologia atuando principalmente nos seguintes temas: pantanal, florística, dispersão, florestas decíduas, florestas ripárias e rio paraguai.

Vitor Simão Galletti, Universidade Federal do Mato Grosso do Sul

Graduado em Ciências Biológicas pela Universidade Estadual de Mato Grosso do Sul em (2005), na cidade de Dourados. Mestre pelo Programa de Pós-Graduação stricto sensu em Ecologia e Conservação da Universidade Federal de Mato Grosso do Sul (2010), em Campo Grande.

Published

2017-02-21