BIRDS OF PARQUE ESTADUAL DO BIRIBIRI, CENTRAL ESPINHAÇO RANGE, BRAZIL

Authors

  • Rone Fernando Carvalho Programa de Pós-graduação em Biologia Animal
  • Leonardo Guimarães Lessa Universidade Federal dos Vales do Jequitinhonha e Mucuri http://orcid.org/0000-0003-4725-5863
  • Estevão Luis Pereira Lima Programa de Pós-graduação em Biologia Animal

DOI:

https://doi.org/10.4257/oeco.2021.2504.08

Keywords:

ecotone, endemic areas, mountain top birds, Neotropical birds

Abstract

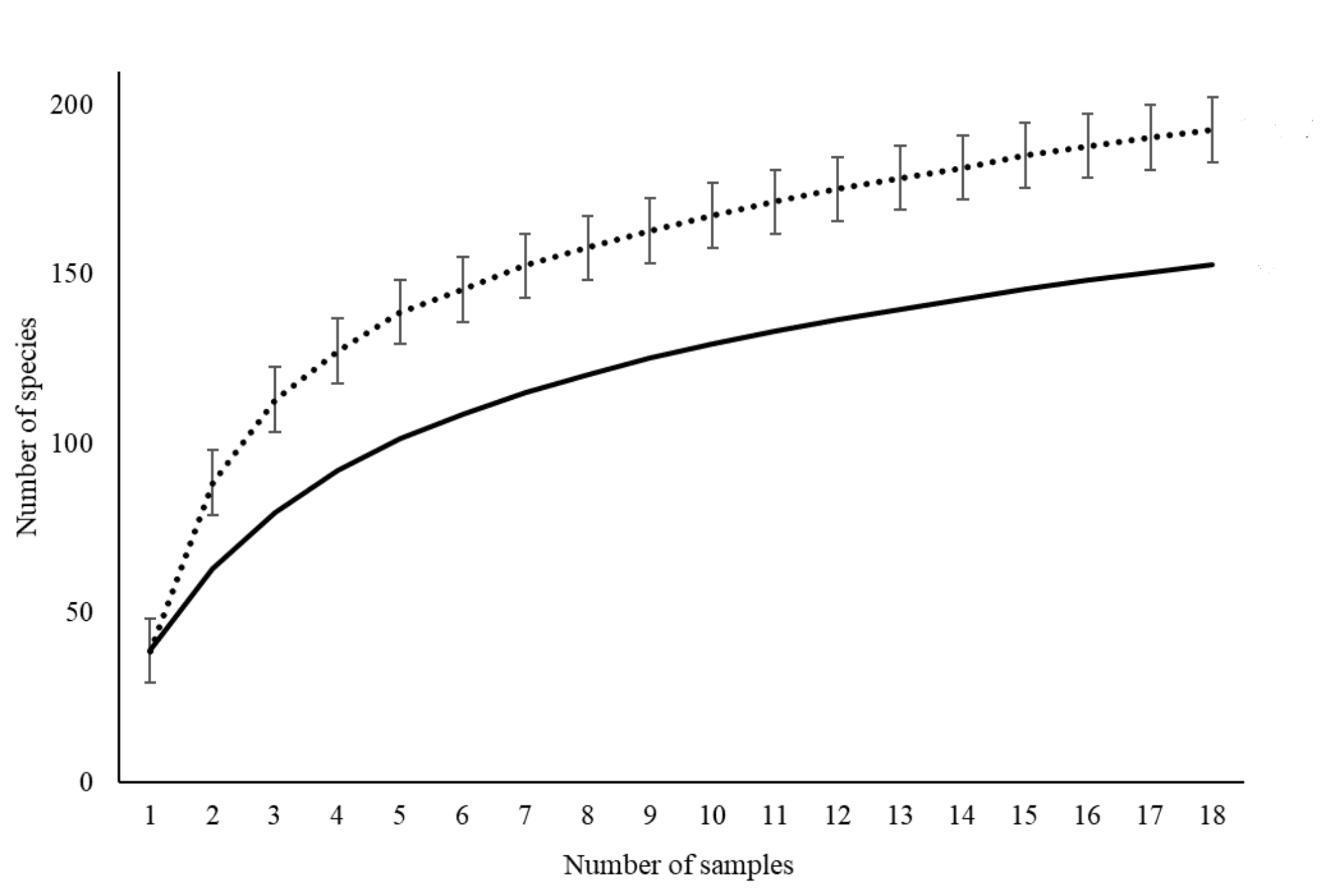
The Central Espinhaço Range forms a large biogeographical barrier that contains areas of ecological transition between two important conservation hotspots in Brazil: the Atlantic Forest and the Cerrado. This research aims to present the first consolidated list of bird species from Parque Estadual do Biribiri (PEBI) located in the Central Espinhaço Range at Minas Gerais state, southeastern Brazil. We recorded 172 bird species between August/November 2018 and January/April 2019, of which 15 are associated with the surrounding biomes (Caatinga, Cerrado and Atlantic Forest) and three species restricted to the southeastern Brazilian mountain tops. Among those species, four are considered globally Near Threatened and 41 species are listed under wildlife trafficking species, indicating the importance of conserving this area. Therefore, our results highlight the importance of PEBI and stress the importance of such transitional areas for maintaining diversity of birds in the Espinhaço Range.

Downloads

Download data is not yet available.

References

Alves, R. R. N. 2012. Relationships between fauna and people and the role of ethnozoology in animal conservation. Ethnobiology and Conservation, 1(2), 1–69.

Bencke, A. G., Mauricio, G., Develey, P., & Goerck, J. G. 2006. Áreas Importantes para a Conservação das Aves no Brasil - estados do dominínio da Mata Atlântica. Bird Life Internacional: SAVE Brasil: p. 494.

Colwell, R. K. 2013. EtimateS: Statistical estimation of species richness and shared species form samples. Version 9.1, User’s Guide and application published at: http://viceroy.eeb.uconn.edu/estimates.

Costa, F., & Monteiro, K. 2016. Guia de identificação das aves traficadas no Brasil. Florianópolis: BECONN: p. 200.

Frota, A. V. B. da, Vitorino, B. D., da Silva, C. J., Ikeda-Castrillon, S. K., & Nunes, J. R. da S. 2020. Birds of the Ramsar site Estação Ecológica de Taiamã and buffer zone, Pantanal wetlands, Brazil. Check List, 16(2), 401–422. DOI: 10.16650/16.2.401

Giulietti, A. M., Pirani, J. R., & Harley, R. M. 1997. Espinhaço Range region, Eastern Brazil. In: S. D. Davis, V. H. Heywood, O. Herrera-MacBryde, J. Villa-Lobos & A. C. Hamilton (Eds.), Centres of plant diversity: a guide and strategy for their conservation, Volume 3: The Americas. pp. 397–404. Cambridge: WWF/IUCN Publications Unity.

ICMBio. 2018. Livro Vermelho da Fauna Brasileira Ameaçada de Extinção: Volume III. ICMBio/MMA (Ed), Brasília: MMA: p. 492.

IUCN (International Union for Conservation of Nature). The IUCN Red List of Threatened Species. Versão 2020. Retrieved July 10 2020, from https://www.iucnredlist.org.

Kark, S., Allnutt, T. F., Levin, N., Manne, L. L., & Williams, P. H. 2007. The role of transitional areas as avian biodiversity centres. Global Ecology and Biogeography, 16(2), 187–196. DOI: 10.1111/j.1466-8238.2006.00274.x

Marçal Júnior, O., Franchin, A. G., & Alterff, E. 2009. Levantamento da avifauna na Reserva Ecológica Panga (Uberlândia, MG, Brasil). Bioscience Journal, 25(6), 149–164.

Marques, D., & Nakajima, J. N. 2015. Heliantheae s.l. (Asteraceae) do Parque Estadual do Biribiri, Diamantina, Estado de Minas Gerais, Brasil. Hoehnea, 42(1), 41–58. DOI: 10.1590/2236-8906-15/2014

Myers, N., Mittermeier, R. A., Mittermeier, C. G., Fonseca, G. A. B., & Kent, J. 2000. Biodiversity hotspots for conservation priorities. Nature, 403(6772), 853–858. DOI: 10.1038/35002501

Pereira, I. M., Gonzaga, A. P. D., Machado, E. L. M., Oliveira, M. L. R., & Marques, I. C. 2015. Estrutura da vegetação colonizadora em ambiente degradado por extração de cascalho em Diamantina, MG. Pesquisa Florestal Brasileira, 35(82), 77. DOI: 10.4336/2015.pfb.35.82.769

Piacentini, V. Q., Aleixo, A., Agne, C. E., Maurício, G. N., Pacheco, J. F., Bravo, G. A., Brito, G. R. R., Naka, L. N., Olmos, F., Posso, S., Silveira, L. F., Betini, G. S., Carrano, E., Franz, I., Lees, A. C., Lima, L. M., Pioli, D., Schunck, F., do Amaral, F. R., Bencke, G. A., Cohn-Haft, M., Figueiredo, L. F. A., Straube, F. C., & Cesari, E. 2015. Annotated checklist of the birds of Brazil by the Brazilian Ornithological Records Committee. Revista Brasileira de Ornitologia, 23(2), 91–298. DOI: 10.1007/BF03544294

Rodrigues, M., Carrara, L. A., Faria, L. P., & Gomes, H. B. 2005. Aves do Parque Nacional da Serra do Cipó: o Vale do Rio Cipó, Minas Gerais, Brasil. Revista Brasileira de Zoologia, 22(2), 326–338. DOI: 10.1590/s0101-81752005000200005

Rodrigues, M., Freitas, G. H. S., Costa, L. M., Dias, D. F., Varela, M. L. M., & Rodrigues, L. C. 2011. Avifauna, Alto do Palácio, Serra do Cipó National Park, state of Minas Gerais, southeastern Brazil. Check List, 7(2), 151–161. DOI: 10.15560/7.2.151

Sementili-Cardoso, G., Marques Vianna, R., Whitacker Gerotti, R., & Donatelli, R. J. 2019. A bird survey in a transitional area between two major conservation hotspots in southeastern Brazil. Check List, 15(3), 527–548. DOI: 10.15560/15.3.527

Silva, J. M. C., & Bates, J. M. 2002. Biogeographic Patterns and Conservation in the South American Cerrado: A Tropical Savanna Hotspot. American Institute of Biological Sciences, 52(3), 225–234. DOI: 10.1641/0006-3568(2002)052[0225:BPACIT]2.0.CO;2

Silva, J. M. C., & Santos, M. P. D. 2005. A importância relativa dos processos biogeográficos na formação da avifauna do Cerrado e de outros biomas brasileiros. In: A. Scariot, J. C. Sousa Filho, & J. M. Felfili (Eds.), Cerrado: ecologia, biodiversidade e conservação. p. 220–233. Brasília: Ministério do Meio Ambiente.

Soares, V. M. dos S., Soares, H. K. de L., Lucena, R. F. P., & Barboza, R. R. D. 2018. Conhecimento, uso Alimentar e conservação da avifauna cinegética: Estudo de Caso no município de Patos, Paraíba, Brasil. Interciencia, 43(7), 491–497.

Somenzari, M., Silveira, L. F., Piacentini, V. Q., Rego, M. A., Schunck, F., & Cavarzere, V. 2011. Birds of an Amazonia-Cerrado ecotone in southern Pará, Brazil, and the efficiency of associating multiple methods in avifaunal inventories. Revista Brasileira de Ornitologia, 19(2), 260–275.

Somenzari, M., Amaral, P. P. do, Cueto, V. R., Guaraldo, A. de C., Jahn, A. E., Lima, D. M., Lima, P. C., Lugarini, C., Machado, C. G., Martinez, J., Nascimento, J. L. X. do, Pacheco, J. F., Paludo, D., Prestes, N. P., Serafini, P. P., Silveira, L. F., Sousa, A. E. B. A. de, Sousa, N. A. de, Souza, M. A. de, Telino-Júnior, W. R., & Whitney, B. M. 2018. An overview of migratory birds in Brazil. Papéis Avulsos de Zoologia, 58, 3. DOI: 10.11606/1807-0205/2018.58.03

Sutherland, W. J., Newton, I. & Green, R. E. 2005. Bird ecology and conservation: a handbook of techniques. Oxford University Press, p. 371.

Vasconcelos, M. F. 2009. Mountain top endemism in eastern Brazil: why some bird species from campos rupestres of the Espinhaço Range are not endemic to the cerrado region? Revista Brasileira de Ornitologia, 16(4), 348-362. DOI: 10.1111/j.1365-2699.2012.02712.x

Vasconcelos, M. F., & D’Angelo Neto, S. 2018. First avifaunal survey of a Cerrado dry forest enclave on the right bank of the São Francisco River, Minas Gerais, Brazil, with insights on geographic variation of some species. Papéis Avulsos de Zoologia, 58(2005), 15. DOI: 10.11606/1807-0205/2018.58.15

Vasconcelos, M. F., & Rodrigues, M. 2010. Patterns of geographic distribution and conservation of the open-habitat avifauna of southeastern Brazilian mountaintops (campos rupestres and campos de altitude). Papéis Avulsos de Zoologia, 50(1), 1–29. DOI: 10.1590/S0031-10492010000100001

Vasconcelos, M. F., Chaves, A. V., & Santos, F. R. 2012. First record of Augastes scutatus for Bahia refines the location of a purported barrier promoting speciation in the Espinhaço range, Brazil. Revista Brasileira de Ornitologia, 20(4), 443–446.

Vielliard, J. M. E., Almeida, M. E. C., Anjos, I., & Silva, W. R. 2010. Levantamento quantitativo por pontos de escuta e o índice pontual de abundância (IPA). In: S.V. Matter, F.C. Straube, I. Accordi, V. Piacentini & J.F. Cândido-Jr. (Eds.), Ornitologia e Conservação. Ciência Aplicada, Técnicas de Pesquisa e Levantamento. pp. 47–60. Rio de Janeiro: Technical Books.

Vitorino, B. D., Vilas Boas da Frota, A., Ikeda Castrillon, S. K., & Nunes, J. R. da S. 2018. Birds of Estação Ecológica da Serra das Araras, state of Mato Grosso, Brazil: additions and review. Check List, 14(5), 893–922. DOI: 10.15560/14.5.893

Published

2021-12-15

Issue

Section

Short communication