DISTRIBUTION, ECOLOGY AND REPRODUCTION OF BRYOPHYTES IN A PRESERVED REMNANT OF ATLANTIC FOREST IN SOUTH OF BAHIA, BRAZIL

Authors

DOI:

https://doi.org/10.4257/oeco.2023.2701.03

Keywords:

Diversity, Functional groups, Life forms, Light tolerance, Sexual and asexual reproduction

Abstract

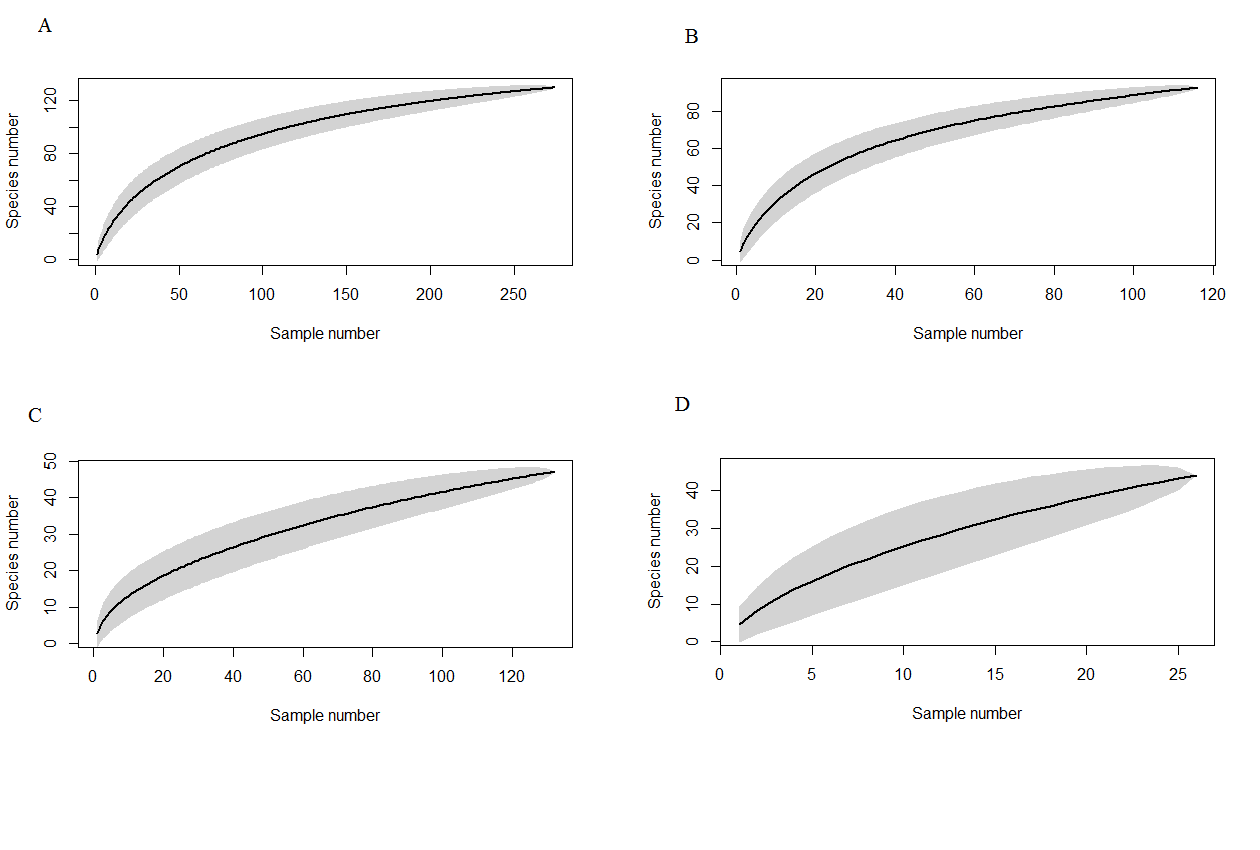
The continuous and intense process of habitat loss and fragmentation has reduced the Atlantic Forest to less than 12% of its original area, with 80% of the remaining fragments smaller than 50 ha and only 9% protected within conservation units. One of the largest Brazilian Atlantic Forest remnants is protected inside the Una Biological Reserve – REBIO Una and Una Wildlife Refuge – REVIS UNA (designated here as “Una Region”). Una Region has fundamental importance to many biological groups due to their endemic species, most of them threatened, but with regard to bryophytes in Una Region there are still knowledge gaps. We carried out a bryofloristic survey in Una Region and analyzed floristic, ecological and reproductive aspects of the bryoflora. Bark, leaf and decaying wood samples were collected within 15 10 x 10 m plots resulting in the identification of 140 species (95 liverworts and 45 mosses), including five new records for Bahia State and 11 for the Northeastern region of Brazil, one endangered (EN) species, and one species recently described. Richness estimators revealed high proportions of undetected species, varying according to substrate type. The bryoflora was dominated by life forms of intermediate desiccation tolerance and shade specialists. Asexual or sexual reproductive structures were observed in nearly 60% of the species. Our results indicate that Una Region plays a fundamental role in the maintenance of the taxonomic, functional and genetic diversity of bryophytes and in the conservation of this group not only in Bahia, but also in the Atlantic Forest.

Downloads

Download data is not yet available.

References

Acebey, A., Gradstein, S. R., & Krömer, T. 2003. Species richness and habitat diversification of bryophytes in submontane rainforest and fallows of Bolivia. Journal of Tropical Ecology, 19, 9–18. DOI: 10.1017/S026646740300302X

Alvarenga, L. D. P., Oliveira, J. R. P. M., Silva, M. P. P., Costa, S. O., & Pôrto, K. C. 2008. Liverworts of Alagoas State, Brazil. Acta Botanica Brasilica, 22, 878–890. DOI: 10.1590/S0102-33062008000300023

Alvarenga, L. D. P., Pôrto, K. C., & Oliveira, J. R. P. M. 2010. Habitat loss effects on spatial distribution of epiphytic bryophytes in a Brazilian Atlantic forest. Biodiversity and Conservation, 19, 619–635. DOI: 10.1007/s10531-009-9723-2

Bastos, C. J. P., & Valente, E. B. 2008. Hepáticas (Marchantiophyta) da Reserva Ecológica da Michelin, Igrapiúna, Bahia, Brasil. Sitientibus, Série Ciências Biológicas, 8, 280–293.

Bates, J. W. 1998. Is ‘life-form’ a useful concept in bryophyte ecology? Oikos, 82, 22–237. DOI: 10.2307/3546962

Batista, W. V. S. M., Santos, N. D., & Pôrto, K. C. 2018. Distribution, ecology, and reproduction of bryophytes in a humid enclave in the semiarid region of northeastern Brazil. Acta Botanica Brasilica, 32(2), 303–313. DOI: 10.1590/0102-33062017abb0339

Bisang, I., & Hedenäs, L. 2005. Sex ratio patterns in dioicous bryophytes revisited. Journal of Bryology, 27, 207–219. DOI: 10.1179/174328205X69959

Brasil. Presidência da República. Lei no 9.985, de 18 de julho de 2000. SNUC – Sistema Nacional de Unidades de Conservação da Natureza. Brasília, DF. (Retrieved on August 11th, 2021, from http://www.planalto.gov.br/ccivil_03/leis/l9985.htm).

Brito, E. S., & Ilkiu-Borges, A. L. 2014. Briófitas de uma área de Terra Firme no município de Mirinzal e novas ocorrências para o estado do Maranhão, Brasil. Iheringia, Série Botânica, 69, 133–142.

Chao, A. 1987. Estimating the population size for capture-recapture data with unequal catchability. Biometrics, 43, 783–91. DOI: 10.2307/2531532

Coleman, B. D., Mares, M. A., Willis, M. R., & Hsieh, Y. 1982. Randomness, area and species richness. Ecology, 63, 1121–1133. DOI: 10.2307/1937249

Cornelissen, J. H. C., & Gradstein, S. R. 1990. On the occurrence of Bryophytes and macrolichens in different lowland rain fo rest types at Mabura Hill, Guyana. Tropical Bryology, 3, 29-35. DOI: 10.11646/bde.3.1.4

Crandall-Stotler, B., Stotler, R. E., & Long, D. G. 2009. Morphology and classification of the Marchantiophyta. In: B. Goffinet & A. J. Shaw (Eds.), Bryophyte Biology. pp. 1–54. New York: Cambridge University Press.

Evangelista, M., Valente, E. B., Bastos, C. J. P., & Vilas Bôas-Bastos, S. B. 2019. Musgos (Bryophyta) da Estação Ecológica Wenceslau Guimarães, Estado da Bahia, Brasil. Hoehnea, 46(4), e092019. DOI: 10.1590/2236-8906-09/2019

Flora e Funga do Brasil 2022. Jardim Botânico do Rio de Janeiro. Disponível em: <http://floradobrasil.jbrj.gov.br/>. Acesso em: 26 fev. 2022

Fontoura, T., & Santos, F. A. M. 2010. Geographic distribution of epiphytic bromeliads of the Una region, Northeastern Brazil. Biota Neotropica, 10(4), 127–132. DOI: 10.1590/S1676-06032010000400017

Frey, W., & Kürschner, H. 2011. Asexual reproduction, habitat colonization and habitat maintenance in bryophytes. Flora, 206(3), 173–184. DOI: 10.1016/j.flora.2010.04.020

Galindo-Leal, C., & Câmara, I. G. 2003. The Atlantic Forest of South America: biodiversity status, threats, and outlook. Washington. Center for Applied Biodiversity Science at Conservation International: Island Press: p. 488.

Glime, J. M. 2017a. Adaptive Strategies: Growth and Life Forms. In: J. M. Glime (Ed.), Bryophyte Ecology. E-book sponsored by Michigan Technological University and the International Association of Bryologists. [accessed 2019 Dez 13]. http://digitalcommons.mtu.edu/bryophyte-ecology1/.

Glime, J. M. 2017b. Light: The Shade Plants. In: J. M. Glime (Ed.), Bryophyte Ecology. E-book sponsored by Michigan Technological University and the International Association of Bryologists. [accessed 2019 Dez 13]. http://digitalcommons.mtu.edu/bryophyte-ecology1/.

Goffinet, B., Buck, W. R., & Shaw, A. J. 2009. Morphology and classification of the Bryophyta. In: In: B. Goffinet & A. J. Shaw (Eds.), Bryophyte Biology. pp. 55–138. New York: Cambridge University Press.

Gotelli, N. J., & Colwell, R. K. 2001. Quantifying biodiversity: procedures and pitfalls in the measurement and comparison of species richness. Ecology Letters, 4, 379–391. DOI: 10.1046/j.1461-0248.2001.00230.x

Gradstein, S. R., & Churchill, S. P., Salazar-Allen, N. & Reiner-Drehwald, M. E. 2001. Guide to the bryophytes of Tropical America. Memoirs of the New York Botanical Garden, 86, 1–577.

Gradstein S. R., & Costa D. P. 2003. The Hepaticae and Anthocerotae of Brazil. Memoirs of the New York Botanical Garden, 87, 1–336.

Gradstein, S. R., & Costa, D. P. 2018. Plagiochila lamyana, a New Liverwort Species from the Guayana Highland of Brazil. Cryptogamie Bryologie, 39(2), 147–153. DOI: 10.7872/cryb/v39.iss2.2018.147

Gradstein, S. R., & Ilkiu-Borges, A. L. 2009. Guide to the plants of Central French Guiana. Memoirs of the New York Botanical Garden, 76, 1–140.

Henriques, D. S. G., Rigal, F., Borges, P. A. V., Ah-Peng, C., & Gabriel, R. 2017. Functional diversity and composition of bryophyte water-related traits in Azorean native vegetation. Plant Ecology & Diversity, 10(2-3), 127–137. DOI: 10.1080/17550874.2017.1315839

Longton, R. E., & Schuster, R. M. 1983. Reproductive biology. In: R. M. Schuster (Ed.), New manual of Bryology. The Journal of the Hattori Botanical Laboratory, 386–462.

Maciel-Silva, A. S., & Válio, I. F. M. 2011. Reproductive phenology of bryophytes in tropical rain forests: the sexes never sleep. The Bryologist, 114, 708–719. DOI: 10.1639/0007-2745-114.4.708

Myers, N., Mittermeier, R. A., Mittermeier, C. G., Fonseca, G. A. B., & Kent, J. 2000. Biodiversity hotspots for conservation priorities. Nature, 403, 853–858. DOI: 10.1038/35002501

Nemésio, A. 2013. The orchid-bee fauna (Hymenoptera: Apidae) of ‘Reserva Biológica de Una’, a hotspot in the Atlantic Forest of southern Bahia, eastern Brazil. Brazilian Journal of Biology, 73(2), 347–352. DOI: 10.1590/S1519-69842013000200014

Oishi, Y. 2009. A survey method for evaluating drought-sensitive bryophytes in fragmented forests: a bryophyte life-form based approach. Biological Conservation, 142, 2854–2861. DOI: 10.1016/j.biocon.2009.04.011

Oliveira, H. C., & Oliveira, S. M. 2017. Vertical distribution of epiphytic bryophytes in Atlantic Forest fragments in northeastern Brazil. Acta Botanica Brasilica, 30(4), 609–7. DOI: 10.1590/0102-33062016abb0303

Oliveira, J. R. P. M., Pôrto, K. C., & Silva, M. P. P. 2011. Richness preservation in a fragmented landscape: a study of epiphytic bryophytes in an Atlantic forest remnant in Northeast Brazil. Journal of Bryology, 33(4), 279–290. DOI: 10.1179/1743282011Y.0000000017

Oliveira, S. M., & Pôrto, K. C. 2001. Reproductive phenology of the moss Sematophyllum subpinnatum in a tropical lowland forest of north-eastern Brazil. Journal of Bryology, 23(1), 17–21. DOI: 10.1179/jbr.2001.23.1.17

Pôrto, K. C., Silva, I. C., Reis, L. C., & Maciel-Silva, A. S. 2016. Sex ratios and sporophyte production in the moss Bryum argenteum Hedw. on a rock outcrop, north-eastern Brazil. Journal of Bryology, 38(4), 1–5. DOI: 10.1080/03736687.2016.1232012

Reis, L. C., Oliveira, H. C., & Bastos, C. J. P. 2015. Hepáticas (Marchantiophyta) epífitas de duas áreas de Floresta Atlântica no Estado da Bahia, Brasil. Pesquisas, Botânica, 67, 225–241.

Reis, L. C., Oliveira, H. C., & Pôrto, K. C. 2020. Drepanolejeunea pinnatiloba Schiffn. (Lejeuneaceae): a rare species in Brazil rediscovered after 17 years. Check List, 16(3), 593–596. DOI: 10.15560/16.3.593

Reis, L. C., & Valente, E. B. 2022. Qualidade da informação em herbários virtuais no Brasil: Coleções de briófitas como estudo de caso. Pesquisas, Botânica, 76, 306–315.

Ribeiro, M. C., Metzger, J. P., Martensen, A. A., Ponzoni, F. L., & Hirota, M. M. 2009. The Brazilian Atlantic Forest: How much is left, and how is there remaining forest distributed? Implications for conservation. Biological Conservation, 142, 114–1153. DOI: 10.1016/j.biocon.2009.02.021

Richards, P. W. 1984. The ecology of tropical forest bryophytes. In: R. M. Schuster (Ed.), New Manual of Bryology. pp. 1233–1270. Nichinan: The Hattori Botanical Laboratory.

Rodrigues, R. R., Lima, R. A. F., Gndolfi, S., & Nave, A. G. 2009. On the restoration of high diversity forests: 30 years of experience in the Brazilian Atlantic Forest. Biological Conservation, 142, 1242–1251. DOI: 10.1016/j.biocon.2008.12.008

Sastre-De Jésus I. 1992. Estudios Preliminares sobre Comunidades de Briófitas en Troncos en Descomposición en el Bosque Subtropical Lluvioso de Puerto Rico. Tropical Bryology, 6, 181–191. DOI: 10.11646/BDE.6.1.21

Sharp, A. J., Crum, H., & Eckel, P. M. 1994. The moss flora Mexico. Memoirs of the New York Botanical Garden, 69, 1–1113.

Sierra, A. M., Vanderpoorten, A., Gradstein, S. R., Pereira, M. R., Bastos, C. J. P., & Zartman, C. E. 2018. Bryophytes of Jaú National Park (Amazonas, Brazil): Estimating species detectability and richness in a lowland Amazonian megareserve. The Bryologist, 121(4), 571–588. DOI: 10.1639/0007-2745-121.4.571

Silva, M. P. P., Kamino, L. H. Y., & Pôrto, K. C. 2014. Is the current network system of protected areas in the Atlantic Forest effective in conserving key species of bryophytes? Tropical Conservation Science, 7(1), 61–74. DOI: 10.1177/194008291400700110

Silva, M. P. P., & Pôrto, K. C. 2010. Spatial structure of bryophyte communities along an edge-interior gradient in an Atlantic Forest remnant in Northeast Brazil. Journal of Bryology, 32(2), 101–112. DOI: 10.1179/037366810X12578498136110.

Silva, M. P. P., & Pôrto, K. C. 2015. Diversity of bryophytes in priority areas for conservation in the Atlantic forest of northeast Brazil. Acta Botanica Brasilica, 29(1), 16–23. DOI: 10.1590/0102-33062014abb3534

Söderström, L., Hagborg, A., von Konrat, M., & Renner, M. 2008. Chapter ten: Early Land Plants Today: Liverwort checklist of checklists. Fieldiana Botany, 47, 105–130. DOI: 10.3158/0015-0746-47.1.105

Souza, J. P. S., Silva, M. P. P., & Pôrto, K. C. 2020. Spatial distribution of functional traits of bryophytes along environmental gradients in an Atlantic Forest remnant in north-eastern Brazil. Plant Ecology & Diversity, 13, 1–12. DOI: 10.1080/17550874.2019.1709227

Spitale, D., Maira, P., & Nascimbene, J. 2020. Patterns of bryophyte life-forms are predictable across land cover types. Ecological Indicators, 109, 105799. DOI: 10.1016/j.ecolind.2019.105799

Sporn, S. G., Bos, M. M., Hoffstätter-Müncheberg, M., Kessler, M., & Gradstein, S.R., 2009. Microclimate determines community composition but not richness of epiphytic understory bryophytes of rainforest and cacao agroforests in Indonesia. Functional Plant Biology, 36(2), 171–179. DOI: 10.1071/FP08197

Thomas, W. M. W., & Carvalho, A. M. V. 2003. Zoneamento Ecológico do Sudeste da Bahia, Brasil (mapa em formato digital). In: P. I Prado, E. C. Landau, R. T. Moura, L. P. S. Pinto, G. A. B. Fonseca & K. Alger (Eds), Corredor de biodiversidade da Mata Atlântica do sul da Bahia. IESB/Conservation International, Ilhéus, CD-ROM.

Valente, E. B., & Pôrto, K. C. 2006. Hepáticas (Marchantiophyta) de um fragmento de Mata Atlântica na Serra da Jibóia, Município de Santa Teresinha, BA, Brasil. Acta Botanica Brasilica, 20(2), 433–441. DOI: 10.1590/S0102-33062006000200018

Valente, E. B., Pôrto, K. C., Bastos, C. J. P., & Ballejos-Loyola, J. 2013. Diversity and distribution of the bryophyte flora in montane forest in the Chapada Diamantina region of Brazil. Acta Botanica Brasilica, 27, 506–518. DOI: 10.1590/S0102-33062013000300008

Downloads

Published

2023-03-15