AVIFAUNA ASSOCIADA A MUÇUNUNGAS: COMPOSIÇÃO E USO DO HABITAT

Authors

  • Fernando Igor de Godoy 1 Casa da Floresta Ambiental Ltda. Av. Joaninha Morganti, 289, Monte Alegre, Piracicaba, SP, Brazil. CEP: 13415-030 2 Programa de Pós-Graduação em Ecologia e Recursos Naturais, Universidade Federal de São Carlos – UFSCar- Rod. Washington Luiz, Km 235, São Carlos, SP, Brazil.
  • Augusto João Piratelli Departamento de Ciências Ambientais, Centro de Ciências e Tecnologia para a Sustentabilidade, Universidade Federal de São Carlos, Rod. João Leme dos Santos Km 110, Sorocaba, SP, Brazil. http://orcid.org/0000-0003-0268-4007

DOI:

https://doi.org/10.4257/oeco.2021.2501.02

Keywords:

Atlantic forest, endemism, grasslands, restingas.

Abstract

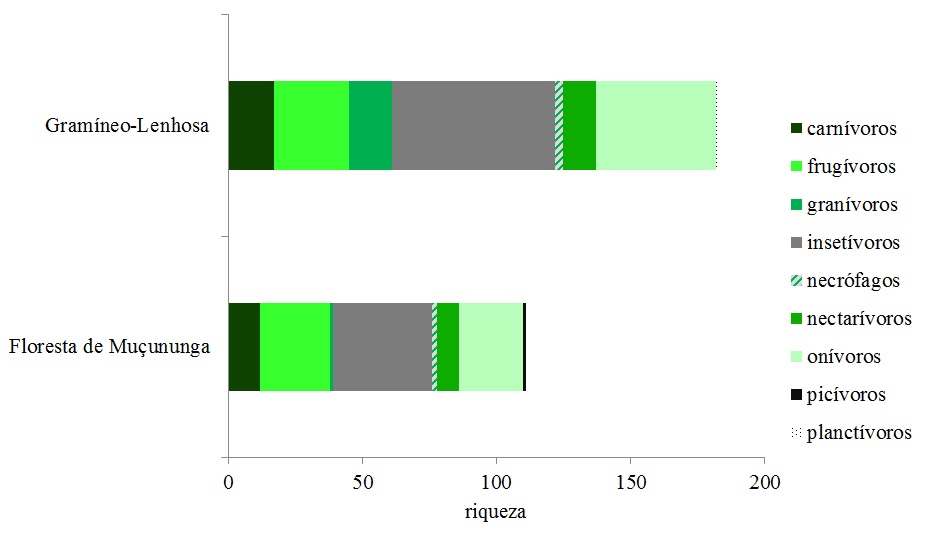
Resumo: As muçunungas são formações vegetais em solos arenosos, similares às restingas em estrutura, variando de gramíneo-lenhosa (GL) a arbórea pouco densa ou floresta de muçununga (FM). Embora algumas aves sejam conhecidas para essa fitofisionomia, há carência de informações sobre quais táxons compõem a estrutura de suas comunidades e como utilizam os recursos desse habitat. Este trabalho tem como objetivos principais apresentar a primeira lista discutida da avifauna associada a áreas de muçunungas com diferentes estruturas (GL e FM), caracterizar o uso de recursos alimentares nessas formações, bem como a influência de formações vegetais adjacentes, e verificar a sua importância para espécies ameaçadas e /ou endêmicas da Mata Atlântica da região. Foram avaliadas cinco áreas de muçunungas no sul do estado da Bahia, Brasil, entre 2011 e 2019. Foram registradas 216 espécies, sendo 32 endêmicas da Mata Atlântica e 14 ameaçadas de extinção, seja em escala nacional e/ou global. A categoria alimentar mais representativa foi a de insetívoros (77 espécies), seguida de onívoros (53) e frugívoros (32). Em relação ao uso do ambiente, 109 espécies foram registradas na FM e 183 em GL. Houve predomínio de aves estritamente florestais na FM (66 %), enquanto na GL houve equilíbrio na proporção de espécies de hábitos florestais, semiflorestais e de áreas abertas. De modo similar às restingas, as muçunungas apresentam predomínio de aves generalistas, com muitas espécies de ambientes vizinhos, dos quais sofrem influência. Devido às similaridades com as restingas, sugere-se que diretrizes conservacionistas semelhantes possam ser aplicadas aos dois ambientes.


AVIFAUNA ASSOCIATED WITH MUSLIMS: COMPOSITION AND USE OF THE HABITAT: Muçunungas are vegetation formations in sandy soils, similar to restingas in structure and composition, ranging from grassy woody (GL) to low-density trees or muçununga forests (FM). Although some birds are known for this phytophysiognomy, few data are available on the structure of their communities, and on the ecological resources' use. This research aims to present the first commented list on the birdlife of muçunungas, and to describe how they share the ecological resources in different formations. Five areas of muçunungas having different vegetation structures were sampled in southern Bahia, Brazil, between 2011 and 2019.  We recorded 216 species; 32 endemics to the Atlantic Forest and 14 threatened with extinction. The most abundant feeding guilds were insectivores (77 species), omnivores (53), and frugivores (32). A total of 109 species were recorded in FM and 183 in GL. Strictly forest birds prevailed in FM (66 %), and forest, semi-forest, and open-area species were detected in similar amounts in GL. Generalist birds have prevailed in muçunungas, sharing many species with the surrounding environments, as in restingas. Due to the paucity of specific public policies, and similarities of muçunungas and restingas, we suggest that similar conservationist strategies could be applied to birds in these two environments of the Atlantic Forest.

Downloads

Download data is not yet available.

References

Aleixo, A. & Poletto, F. 2007. Birds of an open vegetation enclave in southern Brazilian Amazonia. The Wilson Journal of Ornithology, 119(4), 610–630. DOI: 10.25226/bboc.v138i4.2018.a2

Almeida, B. J. M., de Arruda Almeida, B., Souza, A. G., Ruiz-Esparza, J. M. & Ferrari, S. F. 2012. Avifauna dos remanescentes das restingas ao longo da zona de expansão urbana de Aracaju, Sergipe. Scientia Plena, 8, 1–11.

Araújo, D. S. D., Pereira, O. J., Peixoto, A. L. 2008. Campos nativos at the Linhares Forest Reserve, Espírito Santo, Brazil. In: Thomas, W. (Ed.). The Atlantic Coastal Forest of Northeastern Brazil: p. 365–388. New York: The New York Botanical Garden.

Azpiroz, A. B., Isacch, J. P., Dias, R. A., Di Giacomo, A. S., Fontana, C. S., & Palarea, C. M. 2012. Ecology and conservation of grassland birds in southeastern South America: a review. Journal of Field Ornithology, 83(3), 217–246. DOI: 10.1111/j.1557-9263.2012.00372.x

Bibby, C. J., Burguess, N. D. & Hill, D. A. 1992. Bird census techniques. Orlando: Academic Press: p. 257.

Blake, J. G. 1992. Temporal Variation in Point Counts of Birds in a Lowland Wet Forest in Costa Rica. The Condor, 94(1), 265–275. DOI: 10.2307/1368816

Brasil. 2014. Portaria n. 444, de 17 de dezembro de 2014. Lista Nacional Oficial das Espécies da Fauna Ameaçadas de Extinção. Diário Oficial da União, Brasília, DF, n. 245, seção 1, pp. 121–126.

Brito, C. R., Fernandes Filho, E. I., & Sarcinelli, T. S. 2014. Mapeamento de Muçunungas no sul da Bahia e norte do Espírito Santo utilizando técnicas de sensoriamento remoto. Estudos Geográficos: Revista Eletrônica de Geografia, 12(2), 4–29.

Bugalho, J. F. 1974. Métodos de recenseamento de aves. Direção geral de serviços florestais e aquícolas. Lisboa: Monumental LDA. p. 106.

Cardoso da Silva, J. M. & Bates, J. M. 2002. Biogeographic patterns and conservation in the south american Cerrado: A tropical savanna hotspot. AIBS Bulletin, 52(3), 225–234. DOI: 10.1641/0006-3568(2002)052[0225:BPACIT]2.0.CO;2

Cavarzere, V. & Arantes, F. 2017. Birds of a habitat mosaic in the threatened Cerrado of central São Paulo, Brazil. Cotinga, 39, 24–36.

Cerqueira, R. 2000. Biogeografia das restingas. In: Esteves, F. A. & Lacerda, L. D. (Eds). Ecologia de restingas e lagoas costeiras. pp. 65–75. Macaé: NUPEM/UFRJ.

Cordeiro, P. H. C. 2003. Corredor de biodiversidade da Mata Atlântica do sul da Bahia padrões de distribuição da riqueza de espécies de aves no Parque Nacional do Descobrimento, sul da Bahia, Brasil. Ilhéus: IESB/CI/CABS/UFMG/UNICAMP Instituto de Estudos Sócio-Ambientais do Sul da Bahia e Conservation International do Brasil. 1–25.

Dario, F. R. 2009. Composição da avifauna de restinga no Estado do Espírito Santo, Brasil. Revista Biociências, 15(2), 95–105.

Dias, H. M., & Soares, M. L. G. 2008. As fitofisionomias das restingas do município de Caravelas (Bahia-Brasil) e os bens e serviços associados. Boletim técnico-científico do CEPENE, 16(1), 59–74.

Di Giacomo, A. S. & Krapovickas, S. 2005. Conserving the grassland Important Bird Areas (IBAs) of Southern South America: Argentina, Uruguay, Paraguay and Brazil. In: Ralph, C. J. & Rich, T. D. (Eds.). Bird conservation implementation and integration in the Americas: pp. 1243–1249. General Technical Report, Pacific Southwest Research Station, United States Department of Agriculture Forest Service 191,

Dornas, T. & Crozariol, M. A. 2012. Aves associadas a ambiente de veredas na Estação Ecológica Serra Geral do Tocantins com novos registros para a região e nota sobre população local de Culicivora caudacuta. Atualidades Ornitológicas, 169, 54–65.

Faria, L. C., Carrara, L. A., Paulo de Tarso, Z. A. & Matos, J. R. 2016. Avifauna da Reserva Biológica do Córrego do Veado, um dos últimos redutos de Floresta Atlântica de Tabuleiros do Espírito Santo, Brasil. Cotinga, 38, 47–59.

Fergusson-Lees, J. & Christie, D. A. 2001. Raptors of the world. London: Christopher Helm: p. 320.

Ferreira, A. B. H. 1999. Novo Aurélio Século XXI: o dicionário da Língua Portuguesa. 3ª ed. Rio de Janeiro: Nova Fronteira: p. 2128.

Ferreira, V. B. R., Nascimento, M. T. & Menezes, L. F. T. D. 2014. Floristic and phytogeographic pattern of native field in southeastern Brazil. Acta Botanica Brasilica 28(3), 465–475. DOI: 10.1590/0102-33062014abb3556

Fieker, C. Z., Reis, M. G. & Dias Filho, M. M. 2013. Structure of bird assemblages in dry and seasonally flooded grasslands in Itirapina Ecological Station, São Paulo state. Brazilian Journal of Biology, 73(1), 91–101.DOI: 10.1590/S1519-69842013000100011

Fontana, A., Anjos, L. C. C. & Pereira, M. G. 2016. Os tabuleiros costeiros do estado do Espírito Santo: ocorrência e componentes ambientais. In: Rolim, S. G., Menezes, L. F. T. de, Srbek-Araujo, A. C. (Eds). Floresta Atlântica de Tabuleiro: diversidade e endemismos na Reserva Natural Vale. pp. 31–43. Belo Horizonte: Editora Rupestre.

Gonçalves da Silva, B., Koch, I., Piratelli, A. J. 2020. Fruit and flower availability affect bird assemblages across two successional stages in the Atlantic Forest. Studies on Neotropical Fauna and Environment, 55(1), 1–13. DOI: 10.1080/01650521.2020.1743550

Gonzaga, L. P., Castiglioni, G. D. A. & Reis, H. B. R. 2000. Avifauna das restingas do Sudeste: estado do conhecimento e potencial para futuros estudos. In: Esteves, F. A. & Lacerda, L. D. (Eds). Ecologia de restingas e lagoas costeiras. pp. 151–163. Rio de Janeiro: NUPEMUFRJ.

Godoy, F. I. 2018. Observações sobre o comportamento alimentar e dieta do crejoá Cotinga maculata no sul da Bahia, Brasil. Cotinga 40, 50–53.

Gomes, V. S. D. M., Loiselle, B.A. & Alves, M. A. S. 2008. Birds foraging for fruits and insects in shrubby restinga vegetation, southeastern Brazil. Biota Neotropica, 8(4), 21–30. DOI: 10.1590/S1676-06032008000400001

Gomes, V. S. da M., Vecchi, M. B., Loiselle, B. A., Missagia, C. C. C. & Alves, M. A. S. 2016. Heterogeneity of bird communities in a mosaic of habitats on a restinga ecosystem in southeast Brazil. Zoologia 33(5), 1–13. DOI: 10.1590/S1984-4689zool-20150205

Guilherme, E. & Borges, S. H. 2011. Ornithological records from a campina/campinarana enclave on the upper Juruá river, Acre, Brazil. The Wilson Journal of Ornithology 123(1), 24–32. DOI: 10.1676/10-036.1

Hammer, Ø., Happer, D. A. T., & Ryan, P. D. 2001. PAST: Paleontological Statistic Software Package for Education and Data Analysis. Paleontologia Electronica,4(1), 1–9. Retrieved October 20, 2018, from http://palaeo-electronica.org/2001_1/past/issue1_01.htm

Haverschmidt, F. 1950. Notes on the Swallow-Wing, Chelidoptera Tenebrosa, in Surinam. Condor, 52(2), 74–77. DOI: 10.2307/1364756

Hilty, S. 2018. Black-faced Tanager (Schistochlamys melanopis). In: del Hoyo, J., Elliott, A., Sargatal, J., Christie, D. A. & de Juana, E. (Eds.). Handbook of the Birds of the World Alive. Lynx Edicions, Barcelona. Retrieved June 6 2018, from https://www.hbw.com/node/61572

IUCN (International Union for Conservation of Nature). The IUCN Red List of Threatened Species. Versão 2020. Retrieved April 20 2020, from http://www.iucnre dlist.org.

Kanegae, M. F., Levy, G. & Freitas, S. R. 2012. Habitat use by Sharp-tailed Tyrant (Culicivora caudacuta), and Cock-tailed Tyrant (Alectrurus tricolor) in the Cerrado of Southeastern Brazil. Revista Brasileira de Ornitologia, 20(1), 52–58.

Kirwan, G. M. & Green, G. 2011. Cotingas and manakins. London: Christopher Helm. p. 624.

Lima, B. 2010. A avifauna das florestas de restinga de Itanhaém/Mongaguá, Estado de São Paulo, Brazil. Atualidades Ornitológicas, 153, 50–54.

Lima, P. C. 2006. Aves do Litoral Norte da Bahia - Birds of the Northern Coastal Region of Bahia, Atualidades Ornitologicas, 134. p. 661.

Lopes, L. E., Malacco, G. B., Alteff, E. F., De Vasconcelos, M. F., Hoffmann, D. & Silveira, L. F. 2010. Range extensions and conservation of some threatened or little known Brazilian grassland birds. Bird Conservation International 20(1), 84–94. DOI: 10.1017/S0959270909990190

Machado, E. & Silveira, L. B. 2010. Geographical and seasonal distributions of the seedeaters Sporophila bouvreuil and Sporophila pileata (aves: Emberizidae). Papéis Avulsos de Zoologia, 50(32), 517–533. DOI: 10.1590/S0031-10492010003200001

Magalhães, J. H. R. 2018. Estrutura da comunidade arbórea de um remanescente de floresta madura nos tabuleiros costeiros do extremo sul da Bahia, Brasil. Boletim do Museu de Biologia Mello Leitão, 40(2), 93–122.

Magurran, A. E. 2011. Medindo a diversidade biológica. Curitiba: Editora UFPR. p. 262.

Meira-Neto, J. A. A., Souza, A. L., Lana, J. M. & Velente, G. 2005. Composição florística, espectro biológico e fitofisionomia da vegetação de muçununga nos municípios de Caravelas e Mucuri, Bahia. Revista Árvore 29, 139–150.

Moran, C., & Catterall, C. P. 2014. Responses of seed‐dispersing birds to amount of rainforest in the landscape around fragments. Conservation Biology, 28(2), 551–560.

Morante-Filho, J. C., Faria, D., Mariano-Neto, E., & Rhodes, J. 2015. Birds in anthropogenic landscapes: the responses of ecological groups to forest loss in the Brazilian Atlantic Forest. PLoS One, 10(6).

Mota, J. V. L., de Carvalho, A. A. F. & Tinoco, M. S. 2012. Composição da avifauna e sua relação com áreas manejadas na restinga da Reserva Imbassaí, Litoral Norte da Bahia, Brasil. Ornithologia, 5(1), 6–18.

Motta-Junior, J. C., Granzinolli, M. A. M. & Develey, P. F. 2008. Aves da Estação Ecológica de Itirapina, estado de São Paulo, Brasil. Biota Neotropica 8(3), 207–227. DOI: 10.1590/S1676-06032008000300019

Oliveira, A. P. D., Ker, J. C., Silva, I. R. D., Fontes, M. P. F., Oliveira, A. P. D. & Neves, A. T. G. 2010. Spodosols pedogenesis under barreiras formation and sandbank environments in the south of Bahia. Revista Brasileira de Ciência do Solo 34(3), 847–860. DOI: 10.1590/S0100-06832010000300026

Olmos, F., Silva, W. A. D. G. & Albano, C. G. 2005. Aves em oito áreas de Caatinga no sul do Ceará e oeste de Pernambuco, Nordeste do Brasil: composição, riqueza e similaridade. Papéis Avulsos de Zoologia 45(14), 179–199. DOI: 10.1590/S0031-10492005001400001

Ortiz, D. & Capllonch, P. 2007. Distribution and migration of Sporophila c. caerulescens in South America. Revista Brasileira de Ornitologia 15(3), 377–385.

Pacheco, J. F. 2004. As aves da Caatinga: uma análise histórica do conhecimento. In: Silva, J. M. C. T., Fonseca, M. T. & Lins, L. V. (Eds). Biodiversidade da Caatinga: áreas e ações prioritárias para conservação. pp. 189–250. Brasília: MMA.

Pacheco, J. F., G. M. Kirwan, A. Aleixo, B. M. Whitney, J. Minns, K. J. Zimmer, A. Whittaker, P. S. M. Fonseca, M. F. C. Lima & Oren, D. C. 2007. An avifaunal inventory of the CVRD Serra dos Carajás project, Pará, Brazil. Cotinga 27, 15–30.

Parker III, T.A., Stotz, D.F., Fitzpatrick, J.W., 1996. Ecological and distributional databases. In: Stotz, D.F., Fitzpatrick, J.W., Parker III, T.A., Moskovits, D.K. (Eds.), Neotropical Birds: Ecology and Conservation. pp. 111–410. Chicago: The University of Chicago Press.

Pereira, G. A., Araújo, H. F. P. & Azevedo-Júnior, S. M. 2016. Distribution and conservation of three important bird groups of the Atlantic Forest in north-east Brazil. Brazilian Journal of Biology, 76(4), 1004–1020. DOI: 10.1590/1519-6984.06815

Piacentini, V. Q., Aleixo, A., Agne, C. A., Maurício, G. N., Pacheco, J. F., Bravo, G. A., Brito, G. R. R., Naka, L. N., Olmos, F., Posso, S., Silveira, L. F., Betini, G. S., Carrano, E., Franz, I., Lees, A. L., Lima, L. M., Pioli, D., Schunck, F., Amaral, F.R., Bencke, G.A., Cohn-haft, M., Figueiredo, L. F. A., Straube, F. C. & Cesari, E. 2015. Annotated checklist of the birds of Brazil by the Brazilian Ornithological Records Committee. Revista Brasileira de Ornitologia, 23(2), 91–298.

Piratelli, A. & Blake, J. G. 2006. Bird communities of the southeastern Cerrado region, Brazil. Ornitologia Neotropical, 17(3), 213–225.

Rasmussen, P. C. & Collar, N. 2018. Swallow-winged Puffbird (Chelidoptera tenebrosa). In: del Hoyo, J., Elliott, A., Sargatal, J., Christie, D. A. & de Juana, E. (Eds.). Handbook of the Birds of the World Alive. Lynx Edicions, Barcelona. Retrieved June 3 2018, from https://www.hbw.com/node/55987

Rocha, C. F. D., Van Sluys, M., Bergallo, H. G. & Alves, M. A. S. 2005. Endemic and threatened tetrapods in the restingas of the biodiversity corridors of Serra do Mar and of the central da Mata Atlântica in Eastern Brazil. Brazilian Journal of Biology, 65(1), 159–168. DOI: 10.1590/S1519-69842005000100019

Rodrigues, M., Freitas, G. H., Costa, L. M., Dias, D. F., Varela, M. L. & Rodrigues, L. C. 2016. Avifauna, Alto do Palácio, Serra do Cipó National Park, state of Minas Gerais, southeastern Brazil. Check List, 7(2), 151–161.

Rolim, S. G., Menezes, L. F. T. Srbek-Araujo, A. C. 2016. Floresta Atlântica de Tabuleiro: diversidade e endemismos na Reserva Natural Vale. Belo Horizonte: Editora Rupestre. p. 498.

Rother, D., C., Pizo, M. A., Jordano, P. 2016. Variation in seed dispersal effectiveness: the redundancy of consequences in diversified tropical frugivore assemblages. Oikos, 125(3), 336–342.

Rumeu, B., Álvarez-Villanueva, M., Arroyo, J. M., & González-Varo, J. P. 2019. Interspecific competition for frugivores: population-level seed dispersal in contrasting fruiting communities. Oecologia, 190(3), 605–617.

Ruiz-Esparza, J., Gouveia, S. F., Rocha, P. A., Beltrão-Mendes, R., Ribeiro, A.de S. & Ferrari, S. F. 2011. Birds of the Grota do Angico Natural Monument in the semi-arid Caatinga scrublands of northeastern Brazil. Biota Neotropica, 11(2), 269–276. DOI: 10.1590/S1676-06032011000200027

Ruiz-Esparza, J., Silvestre, S. M., Moura, V. S., de Albuquerque, N. M., de Carvalho Terra, R. F., de Castro Mendonça, L. M., de Matos Dias, D., Beltrão-Mendes, R., da Rocha, P. A. & Ferrari, S. F. 2016. Inventory of birds in the coastal restinga of a Private Natural Heritage Reserve in northeastern Brazil. Neotropical Biology and Conservation, 11(2), 51–61.

Santos, M. P. D. 2004. As comunidades de aves em duas fisionomias da vegetação de Caatinga no estado do Piauí, Brasil. Ararajuba, 12(2), 113–112.

Saporetti-Junior, A. W., Schaefer, C. E. G. R., Souza, A. L., Soares, M. P., Araújo, D. S. D. & Meira-Neto, J. A. A. 2012. Influence of soil physical properties on plants of the Muçununga ecosystem, Brazil. Folia Geobotanica, 47, 29–39.

Sarcinelli, T. S. 2010. Muçunungas: Enclaves de vegetação arenícola na Floresta Atlântica de tabuleiro. Master thesis. Programa de Pós-Graduação em Solos e Nutrição de Plantas da Universidade Federal de Viçosa. p. 205.

Sick, H. 1997. Ornitologia Brasileira. Rio de Janeiro: Nova Fronteira: p. 912.

Sigrist, T. 2009. Guia de Campo Avis Brasilis – Avifauna Brasileira: Pranchas e Mapas. São Paulo: Avis Brasilis: p. 305.

Silva, J. M. C., de Souza, M. A., Bieber, A. G. D. & Carlos, C. J. 2003. Aves da Caatinga: status, uso do habitat e sensitividade. In: Leal, I. R., Tabarelli, M. & Silva, J. M. C. (Eds.). Ecologia e conservação da Caatinga. pp. 237–274. Recife: Universidade Federal de Pernambuco.

Silveira, L. F. 2008. Herpsilochmus pileatus (Lichtenstein, 1823). In: Machado, A. B. M., Drummond, G. M. & Paglia, A. P. (Eds.). Livro Vermelho da Fauna Brasileira Ameaçada de Extinção. pp. 605–606. Brasília: Fundação Biodiversitas, Ministério do Meio Ambiente.

Silveira, L. F. & Olmos, F. 2003. Cracids in coastal Alagoas state, northeastern Brazil. In: The World Pheasant Association. Annual Review of the World Pheasant Association 2002/2003. pp. 49–52. Hampshire: World Pheasant Association, UK.

Sokal, R. & Rohlf, J. 1995. Biometría: The principles and practice of statistics in biological research. San Francisco: W. H. Freeman: p. 880.

Straube, F. C., Urben-Filho, A. & Gatto, C. A. F. R. 2005. A avifauna do Parque Estadual do Cerrado (Jaguariaíva, Paraná) e a conservação do cerrado em seu limite meridional de ocorrência. Atualidades Ornitológicas, 127(5), 29–50.

Sylvestre, L. S., Almeida, T. E., Mynssen, C. M. & Salino, A. 2016. Samambaias e licófitas da Reserva Natural Vale, Linhares, ES. In: Rolim, S. M, Menezes, L. F. T., Srbek-Araujo, A. N. (Eds). Floresta Atlântica de Tabuleiro: diversidade e endemismos na Reserva Natural Vale. pp. 157–166. Belo Horizonte: Editora Rupestre.

Taylor, B. 2018. Russet-crowned Crake (Rufirallus viridis). In: del Hoyo, J., Elliott, A., Sargatal, J., Christie, D. A. & de Juana, E. (Eds.). Handbook of the Birds of the World Alive. Lynx Edicions, Barcelona. Retrieved June 3 2018. From https://www.hbw.com/node/53595

Tubelis, D. P. 2009. Veredas and their use by birds in the Cerrado, South America: a review. Biota Neotropica, 9(3), 363–374. DOI: 10.1590/S1676-06032009000300031

Tubelis, D. P. & Cavalcanti, R. B. 2000. A comparison of bird communities in natural and disturbed non-wetland open habitats in the Cerrado's central region, Brazil. Bird Conservation International, 10(4), 331–350. DOI: 10.1017/S0959270900000290

Tubelis, D. P. & Cavalcanti, R. B. 2001. Community similarity and abundance of bird species in open habitats of a central Brazilian Cerrado. Ornitologia Neotropical, 12(1), 57–73.

Vale, M. M., Tourinho, L., Lorini, M. L., Rajão, H., & Figueiredo, M. S. 2018. Endemic birds of the Atlantic Forest: traits, conservation status, and patterns of biodiversity. Journal of Field Ornithology, 89(3), 193–206. DOI: 10.1111/jofo.12256

Veloso, H. P., Rangel-Filho, A. L. R. & Lima, J. C. A. 1991. Classificação da vegetação brasileira adaptada em sistema universal. Rio de Janeiro: IBGE, Departamento de Recursos Naturais e Estudos Ambientais: p. 124.

Venturini, A. C. & Paz, P. R. 2005. Observações sobre a distribuição geográfica de Formicivora spp. (Aves: Thamnophilidae), no Estado do Espírito Santo, sudeste do Brasil. Revista Brasileira de Ornitologia, 13(2), 169–175.

Whitney, B. M., Pacheco, J. F., Buzzetti, D. R. & Parrini, R. 2000. Systematic revision and biogeography of the Herpsilochmus pileatus complex, with description of a new species from northeastern Brazil. The Auk,117(4), 869–891. DOI: 10.1093/auk/117.4.869

Wiki Aves - A Enciclopédia das Aves do Brasil. 2008. Retrieved June 4 2018, from http://www.wikiaves.com

Willis, E. O. 2004. Birds of a habitat spectrum in the Itirapina Savanna, São Paulo, Brazil (1982-2003). Brazilian Journal of Biology, 64(4), 901–910. DOI: 10.1590/S1519-69842004000500022

Wilman, H., Belmaker, J., Simpson, J., de la Rosa, C., Rivadeneira, M.M. & Jetz, W. 2014. Elton traits 1.0: Species‐level foraging attributes of the world's birds and mammals. Ecology, 95(7), 2027. DOI: 10.1890/13-1917

Zuntini, A. R. & Lohmann, L. G. 2016. Levantamento e Distribuição das Bignoniaceae na Reserva Natural Vale, Floresta Atlântica. In: Rolim, S. M, Menezes, L. F. T. & Srbek-Araujo, A. N. (Eds). Floresta Atlântica de Tabuleiro: diversidade e endemismos na Reserva Natural Vale. pp. 259–268. Belo Horizonte: Editora Rupestre.

Published

2021-03-15